气顶边水窄油环水平井生产压差调控实验研究

Experimental Study on the Draw-Down Pressure Control of Horizontal Wells with Gas-Cap/Edge Water Narrow Oil Rims

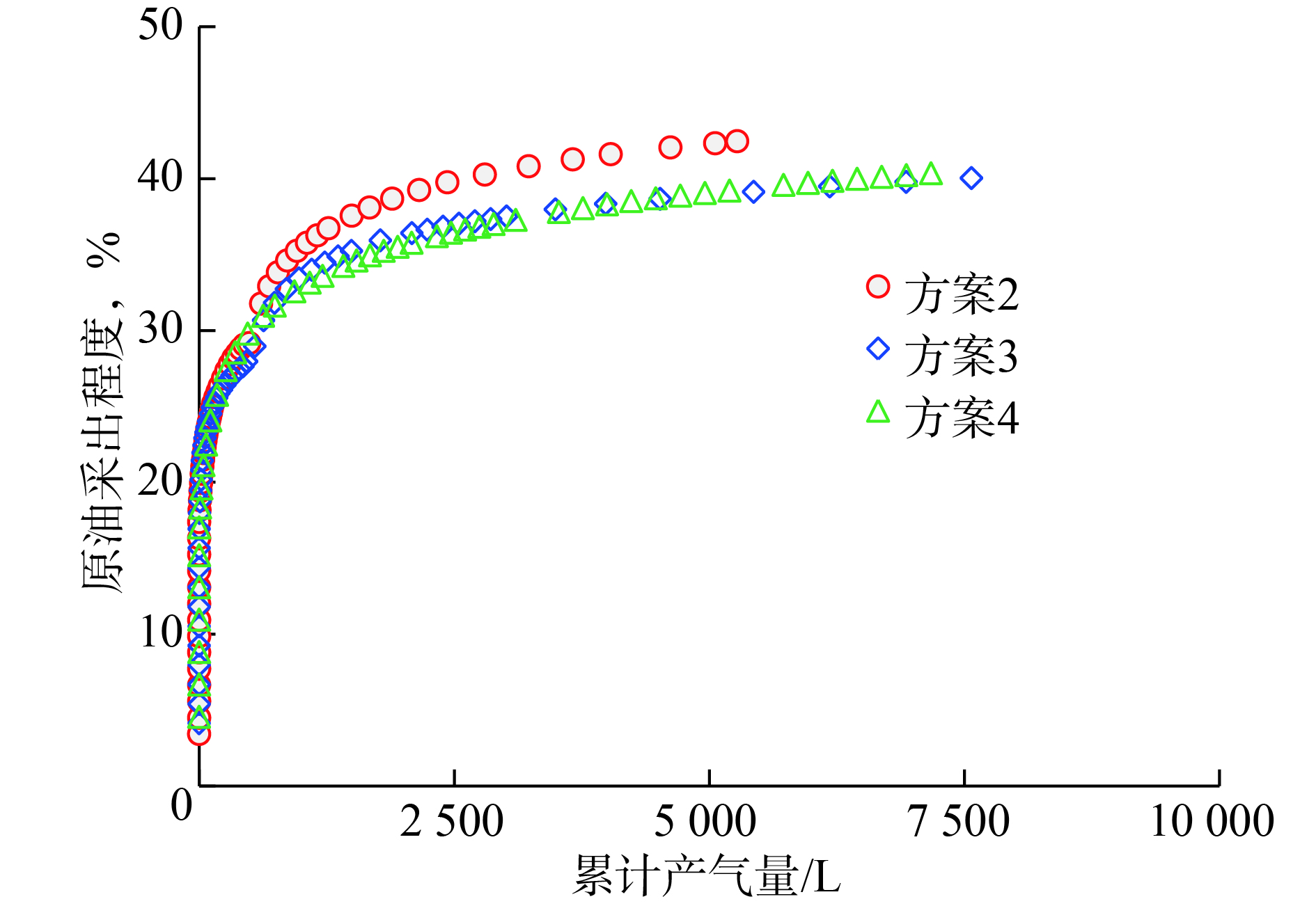
  • 摘要: 为了解生产压差调控策略对气顶边水窄油环开发效果的影响规律,提高该类油藏的采出程度,以海上某气顶边水窄油环为原型,根据相似准则设计了大型三维物理模型,进行了水平井生产压差不同调整时机和调整方式的生产实验,分析了生产压差调整时机和调整方式对气顶边水窄油环开发效果的影响。结果表明:水平井气窜后增大生产压差,采出程度从28.32%提高至约40.00%;气窜持续一段时间后增大生产压差要优于刚发生气窜时就增大生产压差,采出程度可提高2.09%;单阶梯增大生产压差方式的开发效果要优于多阶梯增大生产压差方式,采出程度可提高2.47%。研究表明,气顶边水窄油环气窜后生产一段时间再单阶梯增大生产压差,是提高该类油藏采出程度的最优策略。海上某大气顶边水窄油环采用该生产压差调整策略调整生产压差,增油效果显著。

     

    Abstract: To better understand the influence of draw-down pressure control strategy on the development result of gas-cap/edge water narrow oil rim, and to improve the recovery percentage of such reservoirs, a large-scale three-dimensional physical model was designed by taking an offshore gas-cap/edge water narrow oil rim as the prototype on the basis of similarity criteria. Production experiments on the different adjustment timing and adjustment modes of horizontal well draw-down pressure were conducted, and the influence of those adjustments on the development results of gas- cap/edge water narrow oil rim was analyzed. The results showed that the draw-down pressure increased after gas channeling in the horizontal wells, and the recovery percentage increased from 28.32% to about 40.00%. When gas channeling lasts for a period of time, the recovery percentage from draw-down pressure increase was better than that when gas channeling occurs instantly, and the recovery percentage can increase by 2.09%; In addition, the development result from draw-down pressure increase in single step mode is better than that in multi-step mode, and the recovery percent can increase by 2.47%. The research results showed that draw-down pressure increase in single step after gas channeling lasts for a period of time is the best strategy to improve the recovery percentage of this type of reservoir. This pressure draw-down adjustment strategy has been applied in an offshore gas-cap/edge water narrow oil rim, and oil production increase is remarkable.

     

/

返回文章
返回