2. 陕西延长石油(集团)有限责任公司研究院, 陕西西安 710075
2. Research Institute of Shaanxi Yanchang Petroleum(Group) Co. Ltd., Xi'an, Shaanxi, 710075, China
特低渗透油藏及致密油藏的渗透率接近或小于1.0 mD,存在大量低产井[1-3],其有杆泵采油参数按照高产井机采理论设计,使得采油能耗高、成本上升。如延长油田七里村采油厂70%的油井单井产量小于1.0 m3/d,此类油井常出现“空抽”现象,既浪费了电能,也不能增加产量。因此,需要进行特低渗透油藏及致密油藏低产井的有杆泵采油参数优化理论研究,在确保稳产的前提下,通过节能降耗来提高经济效益[4]。现有的减小泵径[5]、降低冲次[6-7]等调整机采工艺参数方法已无法满足要求,需要将其与间歇抽油技术[8-11]相结合进行优化。间抽时间优化主要有经验法[8]、灰色系统理论法[12-13]、线性回归法和优化统一模型[14]等方法,但这些方法在预测特低渗油藏低产井的间抽时间(开井时间和关井时间)时误差较大,其原因是预测地层渗流量和泵效时存在较大的误差。
为此,笔者以现场采集的井底压力数据为基础,建立了油井内流量积分方程模型,计算出关井后的地层渗流量及开井后的抽油泵泵效,并以此建立优化模型,对开井时间、关井时间、冲程和冲次等参数进行了优化,以实现油井稳产及节能降耗。
1 特低渗及致密油藏采油特点特低渗透及致密油藏低产井采油方案的设计原则是,抽油泵排出的液体体积与地层提供的液体体积相适应。当地层供液量过小时,除减小机采工艺参数外,可以停抽一段时间,待油井内汇流存储一定体积的液体再开抽。因此,间抽时间优化包括2方面:1)地层在多长时间能够为油井供给足够多的液体,这涉及到地层渗流量的变化,即IPR曲线预测;2)抽油泵在多长时间能够将油井内液体抽汲完,这涉及到抽油泵泵效预测。
目前存在的问题也与这2方面密切相关。首先,常见的IPR曲线预测方法是基于Vogel方程或其改进方程,但当地层渗透率接近或小于1.0 mD时,计算结果误差较大。基于灰色理论的GM(1, 1)模型所生成的油井内液面变化曲线以指数形式表达[15-16],实际上特低渗透油藏低产井后的液面上升曲线如图 1所示,其中曲线1表示产液量为6.0 m3/d的油井关井后液面上升的预测曲线,其下泵深度为1 320.00 m;曲线2表示产液量为0.35 m3/d的特低渗透油藏低产井液面上升曲线,其下泵深度为600.00 m。
|
| 图 1 不同油井液面上升对比 Fig.1 Increases of fluid level for different oil wells |
曲线1的液面在10 h后高于静液面,该数据不合理,因此以最大值作为静液面。由于曲线2表示的油井产液量低,该井液面变化情况和曲线1表示的油井区别较大,可见该方法不适用于特低渗透及致密油藏低产井,会使预测的关井时间产生较大误差。其次,利用通常的采油模型来预测抽油泵泵效时,抽油杆变形和泵充满度计算误差造成泵效预测误差较大[17-18],计算出的抽油泵排量也会产生较大误差,因此预测的开井时间误差较大。
2 积分法采油数学模型为了降低地层渗流量及泵效预测误差的影响,提高间抽时间预测的准确性,可通过关井后采集井底压力恢复数据预测地层渗流量,开井后采集井底压力下降数据预测抽油泵泵效。这是因为,关井后地层液体全部进入油井,因此流量与井底压力增加速率存在一定关系;开井后油井内液体经过抽油泵排出井口,因此抽油泵泵效与井底压力下降速率存在一定关系。以上参数的变化可以反映地层特性及抽油泵特性,因此避免了以往方法的缺点。
积分法建模的基本原理是,在一次开井和关井周期内,关井时段地层提供的液体体积(即油井内积存的液体)与开井时段地层提供的液体体积之和与本次开井时段抽油泵排出的液体体积相等,符合流体质量守恒定律,而其依据的是井下压力计所采集的压力数据。测试井下压力时,将测试仪器安装在抽油泵下端的尾管上,随抽油泵一起下放(见图 2)。
|
| 图 2 井下测压装置安装位置 Fig.2 Sitting position of pressure testing device in the oil well |
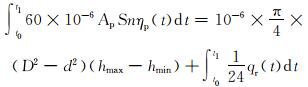
测压前,先用抽油泵将油井内液体抽至最低液位,即液面高度达到抽油泵下端位置,此时关井并开始测压。设液面最低位置与油层中部的距离为hmin,液面最高位置与油层中部的距离为hmax。抽油泵开抽后,液体通过抽油泵排出地面,供液源为地层流入油井的液体和油井内积存液体,因此有:
|
(1) |
式中:Ap为抽油泵柱塞面积,mm2;S为冲程,m;n为冲次,min-1;ηp(t)为抽油泵泵效; q1(t)为油套环空内液体流量,m3/d;qr(t)为地层渗流量,m3/d,由IPR曲线确定;t为时间,h;t0为抽油泵开抽的初始时间,h;t1为抽油泵开抽的结束时间,h。
式(1)左边表示抽油泵所排出的液体体积,右边表示油井井筒和地层所提供的液体总体积,也就是抽油泵所排出液体体积与供给的液体体积相等。
式(1)中,q1(t)项的积分式可以表示为:
|
(2) |
式中:D为套管内径,mm;d为油管外径,mm。
综合式(1)与式(2)可得:
|
(3) |
求解式(3)需用到抽油泵泵效ηp和地层渗流量qr(t)随井底压力变化的数据(IPR曲线),为了降低以往根据冲程损失系数、泵充满度系数和漏失系数计算泵效的误差及根据Vogel方程预测地层渗流量的误差,采用井下直接测得的压力数据来计算。
关井后油井内液面升高的速率与地层渗流量成正比例关系,因此地层渗流量可表示为:
|
(4) |
|
(5) |
式中:Δt为时间间隔,h;Δh为液面高度差,m;pr为井底压力,MPa;pi为测试仪器所测得的压力,MPa;ρL为油井内液体密度,kg/m3;g为重力加速度,m2/s;h1为测试仪器距离油层中部的高度,m。
式(4)和式(5)表示在某个井底压力下对应的地层渗流量,即IPR曲线。
抽油泵排出液体的流量与液面下降的速率和地层渗流量成正比,因此抽油泵泵效可表示为:
|
(6) |
式中:Dp为抽油泵柱塞直径,mm。
式(4)-式(6)中,需利用测试压力与液面之间的关系计算液面高度差Δh,计算公式为:
|
(7) |
式中:hf为液面相对于井底的高度,m。
当hf=hmin时,表示需要关井的最低液面;当hf=hmax时,表示需要开抽的最高液面。
此时,可以求解开井后t0至t1时间内油井的供采状况;而关井后t1至t2时间内油井内流量及液面变化情况,可利用采集的压力数据根据式(4)、式(7)计算得到。所以,开井时间TK=t1-t0,关井时间TG=t2-t1。优化的目标是在油井月产量最大化(不减产)前提下,确定合理的工艺参数。优化模型如下:
|
(8) |
式中:QS为一个开井周期的单次产液量,m3;QM为一个月的累计产液量,m3;TK为开井时间,h;TG为关井时间,h。
约束条件:
|
设计变量:开井时间TK、关井时间TG、抽油泵冲程S、冲次n和泵径Dp。
求解该优化模型,得到TK,TG,S,n和Dp,可利用计算机程序反复迭代进行求解。
3 现场应用 3.1 应用效果延长油田七里村采油厂油井生产层位为长61、长62和长63段地层,生产井段600.00~700.00 m,地层渗透率小于2.0 mD,70%的油井属于单井产液量小于1.0 m3/d的低产井,仅注水井转轴后的产液量高于2.0 m3/d。
应用有杆泵采油参数优化方法对七里村采油厂不同丛式井井场的163口低产油井不同层位进行压力测试和间抽周期优化。考虑现场的可操作性,未改变原冲程、冲次等参数;对于没有安装时间控制器的油井,将间抽周期圆整为24或48 h,便于操作人员进行集中拉闸启停抽油机。不同类型油井的间抽周期优化结果及生产情况见表 1。从表 1可以看出,优化后的关井时间均有所延长,产液量基本保持不变,总节电率达到25.9%。
| 产液量/(m3·d-1) | 井数/口 | 优化前间抽周期 | 优化前月累计产液量/m3 | 优化前月耗电量/(kW·h) | 优化后间抽周期 | 优化后月累计产液量/m3 | 优化后月耗电量/(kW·h) |
| 0.8~1.0 | 84 | 开8 h,关16 h | 2 293.2 | 70 560 | 开3 h,关9 h | 2 293.1 | 55 440 |
| 0.6~0.8 | 27 | 开8 h,关16 h | 226.8 | 21 060 | 开3 h,关9 h | 226.0 | 16 686 |
| 0.4~0.6 | 27 | 开8 h,关16 h | 421.2 | 21 060 | 开2 h,关10 h | 421.3 | 14 580 |
| 0.3~0.4 | 12 | 开8 h,关16 h | 129.6 | 9 072 | 开2 h,关10 h | 129.1 | 6 120 |
| 0.2~0.3 | 5 | 开8 h,关16 h | 37.5 | 3 450 | 开3 h,关21 h | 37.2 | 2 100 |
| ≤0.2 | 8 | 开6 h,关18 h | 38.4 | 5 520 | 开4 h,关44 h | 38.4 | 1 920 |
| 合计 | 163 | 3 146.7 | 130 722 | 3 145.1 | 96 846 |
延长油田杜131井为典型的特低渗透油藏低产井,储层为长63段地层,生产井段609.10~616.90 m,油层中部深度613.00 m,地层压力3.13 MPa,原油密度803.5 kg/m3,含水率17.0%,地层渗透率1.58 mD,油井产液量0.350 m3/d,抽油泵泵径44.0 mm,抽油机冲程1.20 m,冲次7 min-1,套管内径124.0 mm,油管外径73.0 mm,开井时间8 h,关井时间16 h。该井井底压力恢复数据见图 3。计算出的地层渗流量曲线见图 4,蓝色曲线存在噪声的原因是采集井底压力时所取的时间间隔只有5 s,进行滤波平滑处理后得到红色曲线。图 5为计算出的抽油泵泵效变化曲线,刚开抽时,由于液面高、泵沉没度大,所以泵效高;随着抽汲过程持续进行,泵沉没度逐渐降低,泵效降低。
|
| 图 3 杜131井井底压力恢复曲线 Fig.3 Plots of bottom-hole pressure restoration of Well Du-131 |
|
| 图 4 杜131井地层渗流量变化曲线 Fig.4 Plots of changes in formation seepage volume of Well Du-131 |
|
| 图 5 杜131井泵效变化曲线 Fig.5 Plots of changes in pumping efficiency of Well Du-131 |
根据图 3-图 5的数据,优化后冲程为1.20 m,冲次为5 min-1,抽油泵泵径为38.0 mm,不同的开井、关井时间的采油效果见表 2。
| 优化方案 | 关井时间/h | 开井时间/h | 单次产液量/m3 | 月累计产液量/m3 |
| 1 | 69.6 | 6.8 | 0.639 | 6.023 |
| 2 | 50.7 | 5.9 | 0.548 | 6.963 |
| 3 | 36.1 | 4.9 | 0.456 | 8.020 |
| 4 | 24.7 | 3.9 | 0.365 | 9.197 |
| 5 | 16.8 | 3.0 | 0.274 | 9.959 |
| 6 | 10.6 | 2.0 | 0.183 | 10.438 |
| 7 | 5.3 | 1.0 | 0.091 | 10.420 |
从表 2可以看出,该井关井时间10.6 h、开井时间2.0 h时产液量最大,月产油量为10.438 m3,平均日产油量0.348 m3/d,与油井原来的产油量基本持平。和以前的经验法比较,如取静液面的70%作为开抽点(表 1中优化方案1),则需要关井69.6 h,开井6.8 h,月产油量6.023 m3,说明本方法可以使产液量最大化;和优化前的作业制度相比(开井8.0 h,关井16.0 h),产液量保持稳定,但抽油机工作时间减少了2.6 h,达到了节能降耗的目的。
分析其原因认为:如果开抽点的液面过低,关井时间过短,此时井内积存的液体过少,抽油泵泵效很低,甚至空抽,不仅不能增加产液量,反而浪费电能,所以存在最优关井和开井时间,即按照产液量最大化原则,此时开抽时液面为静液面的20%。对于低产井,适当降低开抽时的液面高度、减少关井时间,可以稳产降耗。
4 结论与建议1) 以实测井底压力数据为依据建立的低产井采油参数优化模型,可以准确预测单井关井时间及开井时间,实现油井稳产和节能降耗的目的。
2) 延长油田七里村采油厂163口低产油井进行了开井时间优化试验,优化后减少了开井时间,延长了关井时间,降低了抽油机耗电量,说明优化方法有效。
3) 使用井下压力计测试时需要起下管柱,为了不影响生产,计划在井口安装液面检测装置,通过采集油井内液面变化数据定期对关井和开井时间进行调整。
| [1] |
杜金虎, 刘合, 马德胜, 等.
试论中国陆相致密油有效开发技术[J]. 石油勘探与开发, 2014, 41(2): 198–205.
DU Jinhu, LIU He, MA Desheng, et al. Discussion on effective development techniques for continental tight oil in China[J]. Petroleum Exploration and Development, 2014, 41(2): 198–205. DOI:10.11698/PED.2014.02.09 |
| [2] |
张映红, 路保平, 陈作, 等.
中国陆相致密油开采技术发展策略思考[J]. 石油钻探技术, 2015, 43(1): 1–6.
ZHANG Yinghong, LU Baoping, CHEN Zuo, et al. Technical strategy thinking for developing continental tight oil in China[J]. Petroleum Drilling Techniques, 2015, 43(1): 1–6. |
| [3] |
何祖清, 梁承春, 彭汉修, 等.
鄂尔多斯盆地南部致密油藏水平井智能分采技术研究与试验[J]. 石油钻探技术, 2017, 45(3): 88–94.
HE Zuqing, LIANG Chengchun, PENG Hanxiu, et al. Research and tests on horizontal well smart layering exploiting technology in tight oil reservoirs in Southern Ordos Basin[J]. Petroleum Drilling Techniques, 2017, 45(3): 88–94. |
| [4] |
刘合, 郝忠献, 王连刚, 等.
人工举升技术现状与发展趋势[J]. 石油学报, 2015, 36(11): 1441–1448.
LIU He, HAO Zhongxian, WANG Liangang, et al. Current technical status and development trend of artificial lift[J]. Acta Petrolei Sinica, 2015, 36(11): 1441–1448. DOI:10.7623/syxb201511014 |
| [5] | ALVA M, ALFARO A. Non conventional sucker rod pumping for slim hole wells[R]. SPE 69550, 2001. |
| [6] | CUI Junguo, XIAO Wensheng, FENG Hao, et al. Long stroke pumping unit driven by low-speed permanent magnet synchronous motor[R]. SPE 173698, 2014. |
| [7] | BOMMER P M, SHRAUNER D. Benefits of slow-speed pumping[J]. Journal of Petroleum Technology, 2006, 58(10): 76–79. DOI:10.2118/103359-JPT |
| [8] |
向瑜章, 梁广江.
抽油井间抽控制技术的开发与应用[J]. 石油钻采工艺, 2004, 26(6): 68–70.
XIANG Yuzhang, LIANG Guangjiang. Development and application of pump-off controlling in the swabbing well[J]. Oil Drilling & Production Technology, 2004, 26(6): 68–70. |
| [9] |
蔡小辉.
油井间抽节能技术研究与认识[J]. 石油石化节能, 2013, 29(1): 13–15.
CAI Xiaohui. Research and knowledge of saving energy technology for the intermittent pumping oil[J]. Energy Conservation of Oil Fields, 2013, 29(1): 13–15. |
| [10] | ARGUELLO V J, RAMIREZ P, JIMENEZ B, et al. Reducing cost and deferred production in sucker-rod pumping well subjected to intermittent steam cycling utilizing steam-bypass pump[R]. SPE 171355, 2014. |
| [11] | CORREA J F, SANTOS O G, INAZUMI P C M. Intelligent automation for intermittent-gas-lift oil wells[R]. SPE 69404, 2001. |
| [12] |
郭高. 基于灰色系统理论的低渗油井间抽控制技术研究[D]. 西安: 西安理工大学, 2012.
GUO Gao. Study on controlling technologies of the intermittent oil-pumping for the low permeability wells based on gray system theory[D]. Xi'an: Xi'an University of Technology, 2012. http://d.wanfangdata.com.cn/Thesis/Y2587586 |
| [13] |
李军亮, 廖锐全, 陈晓春.
抽油井间抽周期的灰色预测[J]. 断块油气田, 2012, 19(5): 634–637.
LI Junliang, LIAO Ruiquan, CHEN Xiaochun. Grey prediction of intermittent cycle for pumping well[J]. Fault-Block Oil & Gas Field, 2012, 19(5): 634–637. |
| [14] |
邓吉彬.
抽油机井节能优化统一模型[J]. 石油钻采工艺, 2016, 38(6): 842–847.
DENG Jibin. Uniformed model for energy conservation and optimization of rod-pumped wells[J]. Oil Drilling & Production Technology, 2016, 38(6): 842–847. |
| [15] |
石志敏. 低压低产油井生产规律分析与举升工艺参数设计[D]. 东营: 中国石油大学(华东), 2005.
SHI Zhimin. The production rule analyze of the lifting parameters design for low-pressure and low-production oil wells[D]. Dongying: China University of Petroleum(Huadong), 2005. 低压低产油井生产规律分析与举升工艺参数设计 |
| [16] |
魏显峰.
杏北开发区油井间抽技术研究与应用[J]. 中外能源, 2011, 16(6): 50–54.
WEI Xianfeng. Research and application of intermittent pumping technology of oil wells in Xingbei Development Area[J]. Sino-Global Energy, 2011, 16(6): 50–54. |
| [17] | TAKACS G. Sucker rod pumping handbook[M]. Walthan MA: Elsevier Press, 2015. |
| [18] | LIU Leiming, TONG Chaonan, WANG Jianqin, et al. A uniform and reduced mathematical model for sucker rod pumping[J]. Lecture Notes in Computer Science, 2014, 3037: 372–379. |


