精细控压钻井技术可以解决常规钻井技术在窄密度窗口条件下的溢流、井漏、卡钻和井壁垮塌等难题[1-5]。现有精细控压钻井系统在接卸钻柱、起下钻时,首先要启动回压补偿系统,建立钻井液池、回压泵和自动节流管汇间的流动通道;然后停钻井泵,停止井筒内钻井液的循环,同时调节节流阀的开度,产生井口附加压力,以平衡由于钻井泵停泵所导致的循环摩阻缺失,达到维持井底压力稳定的目的。该井口回压施加方式的缺陷是:钻井泵停泵时必须使用回压补偿系统施加井口回压,一方面井口回压泵及其附属设备的价格较高,会增加控压钻井的成本,另一方面会占据较大的场地空间,给现场作业增加困难[6-12]。另外,井口回压补偿系统现场维修困难,一旦出现故障将导致钻井泵停泵时无法实施控压钻井作业[13-15]。
近年,Halliburton公司研发了钻井泵分流RPD(rig pump diverter)系统,用其替换控压钻井系统中的回压补偿系统,现已形成系列产品。中国石油大学(北京)和中国石油大学(华东)分别提出了一种基于流道切换的分流管汇方案,中国石油集团钻井工程技术研究院提出了一种基于双泵工作的分流管汇方案,但是这几种方案未形成产品[16-19]。自动分流管汇具有简化精细控压钻井系统、降低成本的优势,但国内对其的研究相对滞后,因此,笔者设计了一种新型控压钻井自动分流管汇系统,可以将钻井泵排量进行自动分流控制,在井筒停止循环钻井液时施加井口附加压力,可以替代回压补偿系统,从而简化控压钻井井场设备,减小占用的空间,降低钻井成本。
1 控压钻井自动分流管汇系统设计回压补偿系统的功能是,在接单根(立柱)、起下钻等工况下,钻井泵停泵后为地面循环通路提供钻井液,建立地面节流循环,用于控制/调节井口压力。自动分流管汇系统应具备回压补偿系统的功能,能够在井筒内钻井液停止循环时为地面循环管路提供钻井液,且不影响正常钻进,实现正常钻进与接卸单根、起下钻等停止循环工况间的平稳切换。
1.1 自动分流管汇系统的结构控压钻井自动分流管汇系统的结构如图 1所示。图 1中,(2) 和(6) 为四通,(5),(9) 和(12) 为三通,(3),(8) 和(13) 为弯接头,(1),(4),(7),(10) 和(11) 为转换接头; 1, 3, 5, 6,7为液动阀,2,4为手动阀,8为单流阀。
|
| 图 1 控压钻井自动分流管汇系统结构示意 Fig.1 Schematic structure of an automatic diverter manifold in managed pressure drilling |
入口A与钻井泵A连接,入口B与钻井泵B连接,接头(11) 与泄压管线连接,接头(7) 与立管通路连接,节流管汇与自动节流管汇连接。2个入口和2个出口可分别构成独立的通道,也可以汇流。在接卸单根、起下钻等停止循环工况与正常钻进工况相互切换时,可以实现一条通路与立管连通,另一条通路与地面自动节流管汇连通,且通路之间可以相互切换。
1.2 电气自动控制系统 1.2.1 总体方案选用Siemens公司生产的过程控制系统PCS7(process control system)进行控制系统的设计,PCS7功能强大,稳定性高,伸缩性强,可在所有层级实现冗余,能够满足自动分流管汇系统的控制要求。采用硬冗余方式加强控制系统的安全性,通过ET200M(西门子分布式I/O)解决可编程控制器件PLC(programmable logic controller)与现场仪表间的信号传输问题,并根据输入输出节点的数量及精度要求选用合适的输入输出模块。
1.2.2 电气自动控制系统的构成自动分流管汇的电气自动控制系统是控压钻井自动控制系统的一个子系统,主要由各类传感器、电动控制机构、气动控制机构、本地控制操作台和远程控制系统等构成。流道的切换由平板阀控制单元控制,控制系统采用了全冗余、热备份的安全设计。
泵冲传感器用于判断钻井泵的工作状态,当钻井泵工作时流通管路上的阀门不能打开或关闭,以防误操作。
电气自动控制系统原理如图 2所示。自动分流管汇的电气自动控制系统主要由自动化站、操作员站和工程师站组成。操作员站主要包括主机系统、显示设备、键盘输入设备、信息存储设备等;自动化站的硬件由机架、电源、CPU、I/O卡件等组成。自动分流管汇系统工作时,传感器实时采集过程参数,并以标准电信号的形式传到ET200M的输入通道中,ET200M再将信号通过profibus dp总线送入PLC中进行解析和运算,此时PLC会根据采集到的参数和控制要求发出当前时刻的控制命令,并通过profibus dp总线和ET200M发送到各平板阀的控制单元中,从而使各阀门按照要求执行动作。
|
| 图 2 自动分流管汇电气自动控制系统原理 Fig.2 Operation principles of automatic control system for automatic diverter manifold |
控压钻井自动分流管汇系统与其他钻井设备的连接方法如图 3所示。该系统有2种工作模式,在正常条件下可使用双泵工作模式,当其中1个泵损坏或维修时,可使用单泵工作模式。
|
| 图 3 带有自动分流管汇的精细控压钻井装备 Fig.3 Managed pressure drilling system with an automatic diverter manifold |
正常控压钻进工况下,自动分流管汇系统有3种工作方式。方式1:自动分流管汇系统中的手动阀2和液动阀7打开,其余阀都关闭,钻井泵A工作,钻井泵B关闭,形成钻井泵A至钻柱的通路。
方式2:手动阀4、液动阀3和7打开,其余阀都关闭,钻井泵B工作,钻井泵A关闭,形成钻井泵B至钻柱的通路。方式3:手动阀2和4及手动阀3和7打开,其余阀都关闭,钻井泵A和B同时工作,以满足大排量常规钻井要求。
2.2 起下钻或接卸单根起下钻或接卸单根工况下,双泵和单泵工作时自动分流管汇系统都有2种工作方式。
双泵工作模式1:初始钻井泵A工作,钻井泵B关闭,液动阀5和手动阀4打开,开钻井泵B建立其至自动节流管汇的通路形成地面循环,然后关闭钻井泵A,打开液动阀1泄压,然后关闭液动阀1和7及手动阀2,在此过程中实时调节自动节流管汇中节流阀的开度,以维持井底压力稳定。
双泵工作模式2:初始钻井泵B工作,钻井泵A关闭,打开液动阀6,开钻井泵A建立其至自动节流管汇的通路形成地面循环,然后关闭钻井泵B,打开液动阀1泄压,然后关闭液动阀1,3和7及手动阀4,在此过程中实时调节自动节流管汇中节流阀的开度,以维持井底压力稳定。
单泵工作模式1:在紧急情况下,初始钻井泵A工作,钻井泵B损坏或在维护中,关钻井泵A,然后打开液动阀1泄压,关闭液动阀1和7及手动阀2,打开液动阀6,再开钻井泵A建立其至自动节流管汇的通路形成地面循环,开泵后调节自动节流管汇中节流阀的开度,再次建立井底压力平衡。
单泵工作模式2:在紧急情况下,初始钻井泵B工作,钻井泵A损坏或维护中;关钻井泵B,打开液动阀1泄压,关闭液动阀1,3和7,打开液动阀5,再开钻井泵B建立其至自动节流管汇的通路形成地面循环,开泵后调节自动节流管汇中节流阀的开度,再次建立井底压力平衡。
3 井口压力控制数值模拟 3.1 模型建立与数值求解根据控压钻井自动分流管汇系统的设计方案,考虑主要流动通道,忽略不影响控制井口压力的非联通管路,分别建立双泵工作模式和单泵工作模式的控压钻井自动分流管汇的物理模型,如图 4所示。
|
| 图 4 控压钻井自动分流管汇的简化物理模型 Fig.4 Simplified physical model of automatic diverter manifold for managed pressure drilling |
工况切换过程中泵排量和阀开度是与时间相关的函数。流动状态变化时,压力扰动将以波的形式将沿着管道向上游和下游传播、反射、叠加,传播过程中能量会逐渐耗散,所以瞬态模型比稳态模型更适合描述该过程。
为了便于分析, 作以下假设:1) 忽略井筒管柱纵向上的形变;2) 整个流动过程为绝热流动;3) 钻井液均匀分散,视其为纯液相。
质量守恒方程:
|
(1) |
动量守恒方程:
|
(2) |
式中:ρ为钻井液密度,kg/m3;v为流速,m/s;p为压力,Pa;t为时间,s;x为空间位置,m;A为流道横截面积,m2;g为重力加速度,m/s2;β为流速方向与水平面夹角,rad;f为流动摩阻系数;D为水力直径,m。
数值模拟中节流阀的开度采用PID控制器控制,其表达式为:
|
(3) |
式中:u(t)为控制器输出值,V;TD为微分时间常数,s;e(t)为调节器的偏差信号,即设定值和测量值之差,V;Kp为比例系数;TI为积分时间常数,s。
由式(1)、式(2) 和式(3) 构成的非定常流动模型属于双曲线型偏微分方程组,可以采用特征线法求解。特征线法物理意义明确、计算效率高、求解稳定,计算精度满足工程要求。采用特征线法将非定常流动模型转换为常微分方程组,并沿其各自的特征线进行离散,采用牛顿-拉夫逊法求解离散方程组[20]。
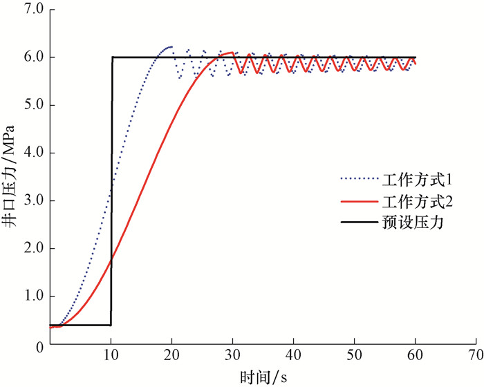
3.2 计算结果 3.2.1 双泵工作模式计算条件:管汇主体内径为0.076 2 m;钻井泵A原排量为28 L/s,工况切换时钻井泵A直接关闭,与此同时开钻井泵B。钻井泵B有2种工作方式:工作方式1是在20 s内钻井泵B的排量线性增至28 L/s;工作方式2是在30 s内钻井泵B的排量线性增至28 L/s。计算0~60 s的井口压力,0~10 s井口压力预设为0.5 MPa,10~60 s预设为6.0 MPa,结果如图 5所示。
|
| 图 5 双泵工作模式下井口压力随时间变化的计算结果 Fig.5 Numerical simulation results for variation of wellhead pressures versus time in dual-pump working mode |
从图 5可以看出:钻井泵B在20和30 s内将排量调节至28 L/s的情况下,调节节流阀的开度,均可以将井口压力控制在预设值,并且控制井口压力至预设值的时间与钻井泵B排量的调节时间相对应;井口压力从预设0.5 MPa增大到预设6.0 MPa的过程中,井口压力上升阶段变化平稳;工作方式1与工作方式2相比,井口压力早12 s增至预设值,两者峰值分别为6.13和6.08 MPa,最终两者均在5.9 MPa上下波动,波动幅度为±0.15 MPa,且波动幅度不断减小,井口压力控制平稳,满足工程需求。
3.2.2 单泵工作模式计算条件:管汇主体内径为0.076 2 m,钻井泵原排量为28 L/s;工况转换时,立压通路先泄压,再将钻井泵与节流通路接通,开泵后关闭泄压通路,钻井泵排量在30 s内线性增至28 L/s。计算0~60 s的井口压力,0~10 s井口压力预设为0.5 MPa,10~60 s预设为6.0 MPa,结果如图 6所示。
|
| 图 6 单泵工作模式下井口压力随时间变化的计算结果 Fig.6 Numerical simulation results for variation of wellhead pressures versus time for single-pump working mode |
从图 6可以看出:在0~10 s钻井泵停泵泄压,3.0~8.5 s井口压力下降,完全泄压;17.0 s时完成流道切换,钻井泵开泵,通过调节节流阀的开度,井口压力上升至5.9 MPa,最终井口压力与预设压力基本保持一致,满足工程需求。与双泵工作模式相比,单泵工作模式先泄压,再开泵建立循环,压力上升速度较慢。因此,单泵工作模式为只有一台钻井泵能正常工作时的一种应急工作模式,不能作为一种常态工作模式。
3.3 计算流体动力学模拟为了验证上文所述模型的准确性,在相同的计算条件下,利用ANSYS模拟软件对上述2种工作模式的自动分流管汇系统进行了计算流体动力学(CFD)模拟。在利用ANSYS模拟软件进行CFD模拟过程中,采用标准κ-ε模型作为黏性模型,在湍流近壁面处理中选择增强壁面处理方法。
κ输运方程为:
|
(4) |
|
(5) |
ε输运方程为:
|
(6) |
湍流黏度为:
|
(7) |
式中:κ为动能能量,J;ε为耗散率;μ为黏度,Pa·s;μt为湍流黏度,Pa·s; ρ为密度,kg/m3;σκ,σε,C1ε,C2ε和Cμ为经验常数,在模拟过程中取ANSYS默认值;Sij为流速空间梯度,s-1;xj为空间方向,m。
以节流管段为例建立物理模型,并进行网格划分。图 7为利用ANSYS模拟软件建立的物理模型,模型由一根长管和一根短管交叉而成,长管为长12.0 m、直径0.076 2 m的管道,短管为长0.2 m、直径0.076 2 m的节流管段。设定长管的入口为入口1,入口1流量固定为28 L/s;短管的入口为入口2,入口2的流量根据需要设定在20和30 s内线性增至28 L/s。采用三角网格对该物理模型进行网格划分,单元网格长度设定为0.05 m。
|
| 图 7 节流管段物理模型 Fig.7 Physical model |
双泵工作模式和单泵工作模式下的模拟结果分别如图 8、图 9所示。将图 8、图 9分别与图 5、图 6进行对比,发现:相同工况条件下,采用ANSYS模拟软件所得的井口压力和上文数学模型计算所得井口压力的变化过程基本一致;井口压力升至6.0 MPa后,CFD模拟的压力波动相对更为平缓一些,表明设计的自动分流管汇系统能够满足控压钻井的需要,同时验证了上文所建数学模型是准确的。
|
| 图 8 双泵工作模式井下口压力随时间变化的CFD模拟结果 Fig.8 CFD numerical simulation results for variation of wellhead pressures versus time in dual-pump working mode |
|
| 图 9 单泵工作模式下井口压力随时间变化的CFD模拟结果 Fig.9 CFD numerical simulation results for variation of wellhead pressures versus time in single-pump working mode |
1) 设计了一种用于精细控压钻井的自动分流管汇系统。该管汇系统利用钻井泵代替回压补偿系统完成控压钻井的工况转换,具有双泵工作模式、单泵工作模式、常规钻井大排量模式等3种工作模式,适应能力强,结构简单。
2) 计算结果和CFD模拟结果表明,采用设计的自动分流管汇进行控压钻井,可将井口压力稳定控制在预设压力,能够满足控压钻井需求。
3) 模块化、通用化是目前钻井装备发展的趋势,应开展自动分流管汇的模块化设计,以及其模块化应用于不同方式控压钻井的研究。
4) 本文只是在理论上研究了自动分流管汇的工作性能,应进一步进行室内试验,并尽快研制出样机进行现场试验。
| [1] |
周英操, 崔猛, 查永进.
控压钻井技术探讨与展望[J]. 石油钻探技术, 2008, 36(4): 1–4.
ZHOU Yingcao, CUI Meng, ZHA Yongjin. Discussion and prospect of managed pressure drilling technology[J]. Petroleum Drilling Techniques, 2008, 36(4): 1–4. |
| [2] |
周英操, 杨雄文, 方世良, 等.
PCDS-Ⅰ精细控压钻井系统研制与现场试验[J]. 石油钻探技术, 2011, 39(4): 7–12.
ZHOU Yingcao, YANG Xiongwen, FANG Shiliang, et al. Development and field test of PCDS-Ⅰ precise managed pressure drilling system[J]. Petroleum Drilling Techniques, 2011, 39(4): 7–12. |
| [3] |
伊明, 陈若铭, 杨刚.
控压钻井技术研究[J]. 新疆石油天然气, 2010, 6(4): 32–37.
YI Ming, CHEN Ruoming, YANG Gang. Research on managed pressure drilling technology[J]. Xinjiang Oil & Gas, 2010, 6(4): 32–37. |
| [4] |
于水杰, 李根生, 罗洪斌, 等.
MPD技术及UBD技术在钻井工程中的应用分析[J]. 西部探矿工程, 2009, 21(7): 89–92.
YU Shuijie, LI Gensheng, LUO Hongbin, et al. Application analysis of MPD and UBD in drilling engineering[J]. West-China Exploration Engineering, 2009, 21(7): 89–92. |
| [5] |
彭明佳, 刘伟, 王瑛, 等.
精细控压钻井重浆帽设计及压力控制方法[J]. 石油钻采工艺, 2015, 37(4): 16–19.
PENG Mingjia, LIU Wei, WANG Ying, et al. Design of heavy grout and pressure control method for fine pressure-control drilling[J]. Oil Drilling & Production Technology, 2015, 37(4): 16–19. |
| [6] |
向雪琳, 朱丽华, 单素华, 等.
国外控制压力钻井工艺技术[J]. 钻采工艺, 2009, 32(1): 27–30.
XIANG Xuelin, ZHU Lihua, SHAN Suhua, et al. Foreign managed pressure drilling technology[J]. Drilling & Production Technology, 2009, 32(1): 27–30. |
| [7] |
孔祥伟, 林元华, 邱伊婕.
微流量控压钻井中节流阀动作对环空压力的影响[J]. 石油钻探技术, 2014, 42(3): 22–26.
KONG Xiangwei, LIN Yuanhua, QIU Yijie. Effect of choke valve action on annular pressure with micro-flux control in MPD drilling[J]. Petroleum Drilling Techniques, 2014, 42(3): 22–26. |
| [8] | ROES V C, REITSMA D, SMITH L, et al. First deepwater application of dynamic annular pressure control succeeds[R]. SPE 98077, 2006. |
| [9] | GEORGR H M, PATRICK P B B. Reynolds distinct variations of managed pressure drilling exhibit application potential[J]. World Oil, 2006, 227(3): 41–44. |
| [10] | VIEIRA P, ARNONE M A, COOKI, et al. Constant bottomhole pressure:managed pressure drilling technique applied in an exploratory well in Saudi Arabia[R].SPE 113679, 2008. |
| [11] |
樊凯, 衣利杰, 王伟, 等.
控制压力钻井在委内瑞拉圣华金油田的应用[J]. 西部探矿工程, 2010, 22(11): 61–62, 66.
FAN Kai, YI Lijie, WANG Wei, et al. Applications of MPD in the San Joaquin Oilfield of Venezuela[J]. West-China Exploration Engineering, 2010, 22(11): 61–62, 66. DOI:10.3969/j.issn.1004-5716.2010.11.020 |
| [12] |
宋荣荣, 孙宝江, 王志远, 等.
控压钻井气侵后井口回压的影响因素分析[J]. 石油钻探技术, 2011, 39(4): 19–24.
SONG Rongrong, SUN Baojiang, WANG Zhiyuan, et al. Analysis of the influence factors of wellhead back pressure in managed pressure drilling after gas invasion[J]. Petroleum Drilling Techniques, 2011, 39(4): 19–24. |
| [13] |
张涛, 李军, 柳贡慧, 等.
控压钻井自动节流管汇压力调节特性研究[J]. 石油钻探技术, 2014, 42(2): 18–22.
ZHANG Tao, LI Jun, LIU Gonghui, et al. Pressure regulation characteristics of automatic choke manifold in managed pressure drilling[J]. Petroleum Drilling Techniques, 2014, 42(2): 18–22. |
| [14] | NAS S W, GEDGE B G, NGUYEN V B. Advantages of managed pressure drilling and the recent deployment of the technology in Vietnam[R]. SPE 136513, 2010. |
| [15] |
宋周成, 何世明, 安文华, 等.
塔中62-27井控压钻井实践[J]. 钻采工艺, 2009, 32(2): 104–105.
SONG Zhoucheng, HE Shiming, AN Wenhua, et al. Application of manage pressure drilling technology in Tazhong Well 62-27[J]. Drilling and Production Technology, 2009, 32(2): 104–105. |
| [16] |
彭明佳, 周英操, 郭庆丰, 等.
窄密度窗口精细控压钻井重浆帽优化技术[J]. 石油钻探技术, 2015, 43(6): 24–28.
PENG Mingjia, ZHOU Yingcao, GUO Qingfeng, et al. Optimization of heavy mud cap in narrow density window precise managed pressure drilling[J]. Petroleum Drilling Techniques, 2015, 43(6): 24–28. |
| [17] |
中国石油大学(北京), 北京信息科技大学. 控压钻井的井口回压控制系统和井口回压控制方法: CN103256015B[P]. 2015-10-21.
China University of Petroleum(Beijing), Beijing Information Science & Technology University. Control system and control method of wellhead back pressure of manage pressure drilling:CN103256015B[P]. 2015-10-21. http://www.cnki.com.cn/Journal/B-B2-HGBJ-2013-10.htm |
| [18] |
中国石油大学(华东), 金湖奥尔机械有限公司. 用于施加井口回压的双节流控制泥浆泵分流管汇及其方法: CN102828712B[P]. 2014-02-19.
China University of Petroleum(Huadong), Jinhu Creole Machinery Company Limited. Double flow control mud pump diverter pipe manifold for applying wellhead back pressure and method thereof:CN102828712B[P]. 2014-02-19. |
| [19] |
中国石油天然气集团公司, 中国石油集团钻井工程技术研究院. 一种适应大流量变化的单节流通道控压钻井方法与装置: CN104100219B[P]. 2016-08-03.
China National Petroleum Corporation, CNPC Drilling Engineering Technology Research Institute. A single throttling channel manage pressure drilling method and device suitable for large flow change:CN104100219B[P]. 2016-08-03. |
| [20] |
怀利E B, 斯特里特V L.
瞬变流[M]. 北京: 水利电力出版社, 1983: 35-105.
WYLIE E B, STREETER V L. Transient flow[M]. Beijing: Water & Power Press, 1983: 35-105. |


