2. 中国石油大学(华东)石油工程学院, 山东青岛 266580
2. School of Petroleum Engineering, China University of Petroleum(Huadong), Qingdao, Shandong, 266580, China
随着国内各油田勘探开发的不断深入,井深逐渐增加,封固段逐渐增长,复杂情况日益增多。长封固段低压易漏层存在顶替压力高、固井风险大、易发生漏失和憋泵等问题,对水泥浆性能和固井设备都提出了更高的要求。目前,国内外针对长封固段复杂井固井的解决方案主要有分级注水泥技术和低密度水泥浆技术[1-6]2种,但分级注水泥过程中存在分级箍打不开、关不上等风险,且后续补救难度大。而采用泡沫、漂珠等常规低密度水泥浆,由于其材料自身承压能力低,在井底高压作用下容易被压缩甚至压碎导致浆体密度升高。同时,由于漂珠破碎,浆体内水分渗入漂珠内部,引起浆体增稠,导致施工压力增大,进一步增大了施工风险。此外,空心玻璃微珠由于具有优异的承压能力亦被用于低密度水泥浆中,但其成本高,在低油价形势下无法大量使用[7-9]。为此,笔者利用轻质高强的树脂材料,研制了一种低成本、高承压并可用作水泥减轻材料的新型材料SXJ-1,并用其配制出实心微珠低密度水泥浆,解决了深井长封固段的固井难题。
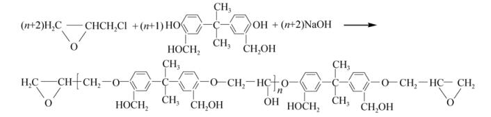
1 新型减轻材料SXJ-1的制备在反应瓶中依次加入羟甲基双酚A、环氧氯丙烷、甲醛和某表面活性剂,在80 ℃下搅拌0.5 h, 然后将温度降至70 ℃,在3.0 h内滴加30%NaOH水溶液35 mL,升温至80 ℃,反应2.0 h,得到透明的油状液体,经萃取、蒸馏、干燥得到改性环氧树脂。其反应方程式为:
|
(1) |
|
(2) |
在室温搅拌条件下依次向反应瓶中加入填充材料活性SiO2、硅藻土、改性环氧树脂和表面活性剂,升温至80 ℃,加入固化剂三乙醇胺反应1.0 h, 降温至60 ℃继续反应2.0 h, 然后将产物干燥、粉碎、过筛,得深褐色固体,即新型低密度水泥减轻材料SXJ-1。该材料为实心颗粒,粒径9~122 μm,密度1.12 kg/L,含水率不大于0.30%,可承受60 MPa以上压力。
2 实心微珠低密度水泥浆的设计 2.1 设计原则为保证固井施工的安全性以及封隔的有效性,实心微珠低密度水泥浆的性能应达到以下要求:1) 稠化时间可调;2) 具有良好的沉降稳定性;3) 具有良好的流动性;4) 滤失量较低;5) 抗压强度较高;6) 承压能力较强,密度微量变化甚至无变化。
2.2 试验材料及仪器试验材料:齐银G级水泥,减轻材料SXJ-1,早强材料XC-1,增强材料XE60S,降滤失剂SWJ-4,缓凝剂SWH-1,分散剂SWJZ-1,消泡剂G603。
试验仪器:千德乐8240型高温高压稠化仪,HTD1103型旋转黏度计,高温高压失水仪,DFC-0702型双温强度养护箱,千德乐1250型常压稠化仪,DFC-0708型恒速搅拌器,YJ-2001型匀载荷压力试验机。
2.3 外加剂的选择以SXJ-1为减轻材料,根据颗粒级配和紧密堆积理论设计水泥浆,通过优选外加剂、外掺料及添加不同粒度的增强材料和填充材料,提高低密度水泥浆的强度和综合性能。
1) 早强材料。由于低密度水泥浆中,水固比较大,同时为了使水泥浆具有适宜的稠化时间,应用于高温深井时还需加入一定量的缓凝剂,造成水泥石的早期抗压强度较低。早强材料XC-1由硅藻土、AlCl3和MgO等按照一定质量比复配得到。水泥浆加入不同量XC-1形成水泥石的抗压强度见表 1。
| 水泥浆配方 | 90 ℃抗压强度/MPa | |
| 24 h | 48 h | |
| 基浆 | 5.6 | 7.4 |
| 1 | 10.7 | 11.8 |
| 2 | 11.8 | 13.0 |
| 3 | 11.0 | 12.5 |
| 注:基浆的配方为40.00 g G级水泥+100.00 g XE60S+1.68 gSWJZ-1+3.50 g SWJ-4+63.00 gSXJ-1;配方1为基浆+16.80 g XC-1;配方2为基浆+21.00 g XC-1;配方3为基浆+23.80 g XC-1。 | ||
由表 1可知,加入早强材料XC-1可显著提高水泥石的强度,当XC-1的加量为15.0%时,抗压强度最高。因此,配制实心微珠低密度水泥浆时XC-1的加量选择15.0%。
2) 增强材料。低密度水泥浆是一种多元混合物,根据颗粒级配理论[10-11],采用不同粒径的增强材料进行有效填充可提高水泥石密实程度。增强材料XE60S是由粒径1~15 μm的微细水泥和粒径5~70 μm的微硅及其他超细纳米材料复配而成的,主要特点是颗粒粒径小、比表面积非常大、能够促进C—S—H在其表面的生长、加速水泥水化反应和提高强度,还可改善水泥石的内部结构和降低水泥石的渗透率;此外,还具有很强的悬浮能力,可作为低密度水泥浆的悬浮材料,防止减轻材料上浮,提高浆体的稳定性。水泥浆加入不同量XE60S后的性能见表 2。
| 密度/ (kg·L-1) | 水泥浆配方 | 水泥浆性能 | ||||||||||
| G级水泥/ g | XE60S/ g | SWJZ-1, % | SWJ-4, % | SXJ-1, % | XC-1, % | 水固比 | 流动度/ cm | 稠度/ Bc | 析水率, % | 抗压强度/ MPa | ||
| 1.30 | 60.00 | 70.00 | 1.4 | 2.5 | 45.0 | 15.0 | 1.20 | 25.0 | 10.0 | 3.5 | 9.1 | |
| 40.00 | 90.00 | 1.4 | 2.5 | 45.0 | 15.0 | 1.20 | 23.5 | 10.0 | 0.1 | 10.3 | ||
| 20.00 | 110.00 | 1.4 | 2.5 | 45.0 | 15.0 | 1.20 | 21.5 | 10.0 | 0 | 12.5 | ||
| 10.00 | 120.00 | 1.4 | 2.5 | 45.0 | 15.0 | 1.20 | 18.0 | 23.0 | 0 | 12.7 | ||
| 1.40 | 60.00 | 70.00 | 2.0 | 2.0 | 40.0 | 15.0 | 0.84 | 20.5 | 13.0 | 0 | 13.2 | |
| 40.00 | 90.00 | 2.0 | 2.0 | 40.0 | 15.0 | 0.84 | 20.0 | 15.0 | 0 | 14.8 | ||
| 20.00 | 110.00 | 2.0 | 2.0 | 40.0 | 15.0 | 0.84 | 19.5 | 18.0 | 0 | 15.2 | ||
| 10.00 | 120.00 | 2.0 | 2.0 | 40.0 | 15.0 | 0.84 | 18.0 | 23.0 | 0 | 15.7 | ||
| 1.50 | 60.00 | 70.00 | 2.0 | 2.0 | 35.0 | 15.0 | 0.60 | 20.4 | 13.0 | 0 | 15.7 | |
| 40.00 | 90.00 | 2.0 | 2.0 | 35.0 | 15.0 | 0.60 | 18.0 | 15.0 | 0 | 17.9 | ||
| 20.00 | 110.00 | 2.0 | 2.0 | 35.0 | 15.0 | 0.60 | 16.5 | 18.0 | 0 | 19.1 | ||
| 10.00 | 120.00 | 2.0 | 2.0 | 35.0 | 15.0 | 0.60 | 15.0 | 23.0 | 0 | 20.7 | ||
由表 2可知:随着增强材料XE605加量增加,水泥浆的流动度降低、稠度升高、析水率降为0、抗压强度上升,当增强材料加量超过一定量时其流动度急剧下降。结合水泥石的抗压强度,确定密度为1.30,1.40和1.50 kg/L的水泥浆配方中G级水泥与增强材料的质量比分别为2:11,4:9和4:9。
3) 分散剂。由于在低密度水泥浆中加入了大量的减轻材料,所以其固相含量较高,需要在其中加入一定量的分散剂来消弱和拆散水泥颗粒之间的连接,释放游离水,使水泥浆中的固相颗粒材料均匀分散,保持浆体的可泵性。选用胜利油田使用较多的分散剂SWJZ-1,它是甲醛和丙酮的缩聚物,能将水泥浆絮状结构中包裹的游离水释放出来,提高水泥浆的流动性能。SWJZ-1的加量由密度来定,密度增大,加量增大, 一般为1.0%~2.5%。
4) 降滤失剂。采用胜利油田常用的降滤失剂SWJ-4,它是一种以聚烯类高分子聚合物为主的中、低温降滤失剂,对水泥浆稠度、稠化时间和强度的影响较小。表 3为水泥浆加入不同量SWJ-4后的性能。
| 密度/(kg·L-1) | 水泥浆配方 | 水固比 | API滤失量/ mL | |||||
| G级水泥/g | XE60S/g | SXJ-1,% | SWJZ-1,% | SWJ-4,% | XC-1,% | |||
| 1.30 | 20.00 | 110.00 | 45.0 | 1.4 | 2.0 | 15.0 | 1.20 | 64.0 |
| 20.00 | 110.00 | 45.0 | 1.4 | 2.5 | 15.0 | 1.20 | 46.0 | |
| 1.40 | 40.00 | 90.00 | 40.0 | 2.2 | 2.0 | 15.0 | 0.84 | 43.0 |
| 40.00 | 90.00 | 40.0 | 2.2 | 2.5 | 15.0 | 0.84 | 42.0 | |
| 1.50 | 40.00 | 90.00 | 35.0 | 2.2 | 2.0 | 15.0 | 0.60 | 44.0 |
| 40.00 | 90.00 | 35.0 | 2.2 | 2.5 | 15.0 | 0.60 | 40.0 | |
由表 3可知:密度为1.30 kg/L的低密度水泥浆中SWJ-4的加量为2.5%时,API滤失量可控制在50 mL以内; 密度为1.40与1.50 kg/L的低密度水泥浆中SWJ-4的加量为2.0%时,API滤失量就能够控制在50 mL以内。
综上所述,得到不同密度的实心微珠低密度水泥浆的典型配方:配方A为20.00 g G级水泥+110.00 g XE60S+1.82 g SWJZ-1+3.25 g SWJ-4+ 58.50 gSXJ-1,水固比1.20,密度为1.30 kg/L;配方B为40.00 g G级水泥+ 90.00 g XE60S+2.86 g SWJZ-1+2.60 g SWJ-4+52.00 g SXJ-1,水固比0.84,密度为1.40 kg/L;配方C为40.00 g G级水泥+90.00 g XE60S+2.86 g SWJZ-1+2.60 g SWJ-4+45.50 g SXJ-1,水固比0.60,密度为1.50 kg/L。
3 实心微珠低密度水泥浆性能评价 3.1 基本性能新型低密度水泥减轻材料SXJ-1粒径小、表面光滑、有利于水泥浆保持良好的流动性;增强材料的加入,在提高水泥浆稳定性的同时也有助于提高水泥石的强度。利用2.2所述试验设备,对配方A、配方B和配方C的基本性能进行了评价,结果见表 4。
| 水泥浆配方 | 流动度/ cm | 初始稠度/ Bc | 析水率, % | API滤失量/ mL | 上下密度差/ (kg·L-1) | 50 ℃抗压强度/MPa | 90 ℃抗压强度/MPa | |||
| 24 h | 48 h | 24 h | 48 h | |||||||
| A | 21.0 | 13.0 | 0 | 46.0 | 0.031 | 5.6 | 8.5 | 11.3 | 12.5 | |
| B | 20.0 | 11.0 | 0 | 43.0 | 0.020 | 7.1 | 10.2 | 13.3 | 14.8 | |
| C | 19.5 | 14.0 | 0 | 44.0 | 0.010 | 9.6 | 11.0 | 15.3 | 17.9 | |
由表 4可知:不同密度的实心微珠低密度水泥浆的流动性和沉降稳定性良好,滤失量控制在50 mL以内; 在90℃下,24 h抗压强度均大于10.0 MPa;低温下强度发展快,在50 ℃下,48 h抗压强度大于8.0 MPa,完全满足保护上部套管的要求。
3.2 压力对水泥浆密度的影响使用千德乐8240型高温高压稠化仪进行压力对低密度水泥浆密度影响的试验。设定目标温度及压力后升温升压,升至目标温度及压力后,保持30 min后取出,测量水泥浆的密度,并与试验前的密度进行比较。该试验目标温度统一设定为70 ℃,目标压力分别为20.0,40.0和60.0 MPa,选取实心微珠低密度水泥浆配方A、配方B和配方C与同等密度漂珠低密度水泥浆(密度1.30 kg/L,配方为G级水泥+45.0%漂珠+15.0%微硅+1.5%SWJ-1+1.5%SWJZ-1+69.0%水(水固比);密度1.40 kg/L,配方为G级水泥+30.0%漂珠+10.0%微硅+1.5%SWJ-1+1.0%SWJZ-1+ 65.0%水(水固比);密度1.50 kg/L,配方为G级水泥+20.0%漂珠+10.0%微硅+1.2%SWJ-1+1.0%SWJZ-1 +55.0%水(水固比)),分别对其高压作用前后的密度进行了对比,结果见图 1。
|
| 图 1 试验压力对水泥浆密度的影响 Fig.1 Impacts of experimental pressure on densities of cement slurry |
由图 1可知,实心微珠低密度水泥浆在60.0 MPa压力条件下,密度变化仅为0.01 kg/L,而漂珠低密度水泥浆的密度变化达到了0.08 kg/L,表明实心微珠低密度水泥浆具有优异的承压能力。
3.3 搅拌速度对水泥浆密度的影响对于漂珠低密度水泥浆,混浆搅拌速度也是导致其密度变化的重要因素。选取实心微珠低密度水泥浆配方A、配方B和配方C与同等密度漂珠低密度水泥浆,分别测定其在低速(4 000 r/min)、中速(12 000 r/min)和高速(18 000 r/min)3种速度下搅拌后的密度,并进行对比,结果见图 2。
|
| 图 2 搅拌速度对水泥浆密度的影响 Fig.2 Impacts of stirring speeds on densities of cement slurry |
由图 2可知,漂珠低密度水泥浆在高速搅拌前后密度差高达0.20 kg/L,而实心微珠低密度水泥浆密度差在0.03 kg/L以内,表明该水泥浆具有优异的抗剪切性能。
3.4 密度变化对水泥浆性能的影响以SXJ-1为减轻材料配制的实心微珠低密度水在搅拌或高压作用前后的密度差在0.03 kg/L以内,为保证施工安全,要求其密度变化前后性能基本保持一致。以配方A为例,考察了低、中、高速搅拌后其稠化时间、滤失量以及抗压强度的变化,结果见表 5。
| 密度1)/ (kg·L-1) | 稠化时间2)/ min | API滤失量/ mL | 90 ℃抗压强度/MPa | |
| 24 h | 48 h | |||
| 1.30 | 155 | 46.0 | 11.3 | 12.5 |
| 1.31 | 161 | 45.0 | 10.9 | 12.1 |
| 1.33 | 142 | 40.0 | 11.6 | 12.7 |
| 注:1)1.31 kg/L水泥浆为配方A经12 000 r/min搅拌速度剪切后的密度,1.33 kg/L水泥浆为配方A经18 000 r/min搅拌速度剪切后的密度;2) 稠化条件为75 ℃、20.0 MPa。 | ||||
由表 5可知,水泥浆密度微量变化过程中,稠化时间、滤失量、抗压强度等性能参数变化不大,表明该水泥浆在密度变化前后性能保持一致。
3.5 水泥石微观结构分析对高速搅拌和承受高压后的漂珠低密度水泥浆和实心微珠低密度水泥浆固结后的水泥石进行了扫描电镜分析,结果分别见图 3和图 4。
|
| 图 3 漂珠低密度水泥石扫描电镜图 Fig.3 SEM of low-density cement concretion composed by floating beads |
|
| 图 4 实心微珠低密度水泥浆石扫描电镜图 Fig.4 SEM of low-density cement concretion composed of soild beads |
由图 3、图 4可知:经过高速搅拌或高压作用后,漂珠低密度水泥浆形成的水泥石可见明显破碎现象;而实心微珠低密度水泥浆凝固后形成的水泥石较为致密,未见明显破碎现象,可知实心微珠低密度水泥浆性能稳定、可靠,可有效保障施工安全。
4 现场应用采用新型低密度水泥减轻材料SXJ-1配制的实心微珠低密度水泥浆已在胜利油田Y22、HG101、X492和YG72等区块应用30余井次,均实现了单级固井返至井口的要求,固井质量合格率100%。其中,Y22区块油藏埋深达到4 400.00 m,已完钻井最大垂深4 200.00 m,采用常规低密度水泥浆固井风险大,且出现的问题最为典型。如Y22-斜72井完钻井深4 018.00 m,0~3 000.00 m井段采用密度为1.35~1.40 kg/L的漂珠低密度水泥浆固井,顶替后期返出口浆体明显增稠,造成返出口管线堵塞,顶替压力高达24 MPa,憋泵及憋漏地层的风险极大,极易引起留水泥塞或者返高不够等问题。为此,该区块钻探井后期均采用1.35~1.45 kg/L实心微珠低密度水泥浆,目前已累计固井6井次,完钻垂深均大于4 000.00 m,全部实现了单级固井水泥返至井口的目的,固井质量优良。
Y22-X98井完钻井深为4 310.00 m,完钻时钻井液密度为1.27 kg/L。二开固井井段井眼直径为215.9 mm,上层套管下入深度为508.36 m,ϕ139.7 mm油层套管下入深度4 290.00 m;地层破裂压力低,井底静止温度为153 ℃,井底压力为53.3 MPa,钻进过程中持续发生渗漏,且完钻后油气上窜速度达到46.0 m/h,压力窗口窄。该井0~3 000.00 m井段采用密度为1.35~1.40 kg/L的实心微珠低密度水泥浆固井(水泥浆配方为G级水泥+40.0%SXJ-1+225.0%XE60S+15.0%XC-1+ 2.0%SWJ-4+2.2%SWJZ-1),3 000.00 m以深至井底采用密度为1.85~1.95 kg/L的塑性微膨胀水泥浆固井(水泥浆配方为G级水泥+2.0%增塑剂+2.0%膨胀剂+1.5%SWJ-1+1.0%SWJZ-1),以确保固井过程中压稳防漏,保证封固效果,满足后续开发要求。该井注入前置液8.0 m3,施工排量0.8 m3/min,然后注入实心微珠低密度水泥浆95 m3,塑性微膨胀水泥浆18 m3,施工排量1.6 m3/min,注水泥结束后注压塞液2.0 m3,后替浆47.72 m3,顶替排量2.18~0.96 m3/min,顶替压力0~16 MPa,碰压至23 MPa,碰压明显,测得返出口水泥浆密度为1.37 kg/L,在整个替浆过程中无压垮、压漏现象产生,固井结束36 h后,电测固井质量达到优。
5 结论1) 通过缩聚反应得到改性环氧树脂,并与固化剂、活性填料等进行调胶、固化、粉碎,得到新型低密度水泥减轻材料SXJ-1,该减轻材料具有良好的承压能力及抗剪切性能。
2) 根据颗粒级配原理,研制出以SXJ-1为减轻材料的密度为1.30,1.40和1.50 kg/L实心微珠低密度水泥浆,其稠化时间可调,50 ℃下48 h强度大于8.0 MPa,承压能力不小于60.0 MPa,可满足超长封固段、低压易漏等复杂情况下固井的需求。
3) 研制的实心微珠低密度水泥浆在胜利油田应用30余井次,垂深4 000.00 m以深深井单级固井水泥均返至井口,固井质量合格率100%。该水泥浆解决了粉煤灰、漂珠等低密度水泥浆难以解决的超长封固段低压易漏层的固井难题。
| [1] |
罗发强, 郭小阳, 杨远光.
一种新型天然类火山灰低密度水泥浆的实验研究[J]. 天然气工业, 2004, 24(2): 51–54.
LUO Faqiang, GUO Xiaoyang, YANG Yuanguang. Lab study of a new cement slurry with low density from natural volcanic ash[J]. Natural Gas Industry, 2004, 24(2): 51–54. |
| [2] |
苑铭, 刘秀成, 李社坤.
微硅复合低密度水泥浆的室内研究与应用[J]. 石油钻探技术, 2001, 29(5): 36–38.
YUAN Ming, LIU Xiucheng, LI Shekun. Lab study and application of silicon composite low density cement slurry[J]. Petroleum Drilling Techniques, 2001, 29(5): 36–38. |
| [3] |
黎泽寒, 李早元, 刘俊峰, 等.
低压易漏深井大温差低密度水泥浆体系[J]. 石油钻采工艺, 2012, 34(4): 43–46.
LI Zehan, LI Zaoyuan, LIU Junfeng, et al. Temperature stable low density slurry for low pressure loss deep wells[J]. Oil Drilling & Production Technology, 2012, 34(4): 43–46. |
| [4] |
李美平, 严海兵, 程严军, 等.
高强度低密度水泥体系性能研究[J]. 钻采工艺, 2007, 30(3): 128–130.
LI Meiping, YAN Haibing, CHENG Yanjun, et al. Research on cement system performance with high strength and low density[J]. Drilling & Production Technology, 2007, 30(3): 128–130. |
| [5] |
顾军, 尹会存, 高德利, 等.
泡沫水泥稳定性研究[J]. 油田化学, 2004, 21(4): 307–309.
GU Jun, YIN Huicun, GAO Deli, et al. A study on foam-admixtured oil well cement[J]. Oilfield Chemistry, 2004, 21(4): 307–309. |
| [6] |
应建成.
新型泡沫水泥浆体系在胜利油田莱州湾区块的应用[J]. 钻采工艺, 2009, 32(6): 113–115.
YING Jiancheng. Application of new type of foam cement slurry system in Shengli Oilfield[J]. Drilling & Production Technology, 2009, 32(6): 113–115. |
| [7] |
张宏军.
中空玻璃微球超低密度水泥浆体系评价与应用[J]. 石油钻采工艺, 2011, 33(6): 41–44.
ZHANG Hongjun. Hollow glass particles super low density slurry evaluation and application[J]. Oil Drilling & Production Technology, 2011, 33(6): 41–44. |
| [8] |
李绍晨.
高温复合低密度水泥浆的研究与应用[J]. 钻井液与完井液, 2011, 28(2): 92–94.
LI Shaochen. Research and application of high temperature and low density cement slurry[J]. Drilling Fluid & Completion Fluid, 2011, 28(2): 92–94. |
| [9] |
桑来玉, 张红卫.
漂珠低密度水泥浆性能的影响因素分析研究[J]. 西部探矿工程, 2008, 20(9): 91–94.
SANG Laiyu, ZHANG Hongwei. Analytic study on influencing factors of microsphere low density cement slurry performance[J]. West-China Exploration Engineering, 2008, 20(9): 91–94. |
| [10] |
冯克满, 朱江林, 王同友, 等.
颗粒级配技术的超高密度水泥浆体系研究[J]. 长江大学学报(自然科学版), 2010, 7(2): 54–57.
FENG Keman, ZHU Jianglin, WANG Tongyou, et al. Ultrahigh high density slurry system based on grain composition[J]. Journal of Yangtze University (Natural Science Edition), 2010, 7(2): 54–57. |
| [11] |
黄柏宗.
紧密堆积理论优化的固井材料和工艺体系[J]. 钻井液与完井液, 2001, 18(6): 1–9.
HUANG Baizong. New cementing materials and technique developed on the concept of high packing density[J]. Drilling Fluid & Completion Fluid, 2001, 18(6): 1–9. |


