2. 中石化新疆新春石油开发有限责任公司, 新疆克拉玛依 834000;
3. 中石化胜利石油工程有限公司海洋钻井公司, 山东东营 257055
2. Xinchun Petroleum Development Company Limited, Sinopec Xinjiang Oil Production Company, Karamay, Xinjiang, 834000, China;
3. Offshore Drilling Company, Sinopec Shengli Oilfield Service Corporation, Dongying, Shandong, 257055, China
油气勘探开发过程中,井壁稳定是制约钻井速度的主要难题,泥页岩地层的井壁稳定问题更为突出。国内外统计数据表明,90%以上的井塌发生在泥页岩地层,其中硬脆性泥页岩地层约占2/3 [1-2]。研究认为,硬脆性泥页岩中普遍发育的微裂缝是井壁失稳的主要原因[3-5],改善滤饼质量和提高钻井液封堵性能是维持泥页岩地层井壁稳定的重要手段[6-11]。前人先后提出了三分之二架桥规则、屏蔽暂堵理论、理想充填理论、油膜封堵和乳液成膜等理论方法,并进行了应用[12-17],但在微裂缝广泛发育的硬脆性泥页岩地层的应用效果并不显著。为此,笔者在借鉴理想充填理论和乳液成膜作用研究成果的基础上,进行全固相粒度优化+多元协同封堵技术研究,不仅考虑了钻井液自身固相的粒度分布情况,还考虑了钻井液维护中添加的暂堵剂的粒度分布,并配合多元协同封堵技术,大大提高了钻井液的封堵性能,现场应用效果较好,为提高泥页岩地层的井壁稳定提供了一种新的技术思路。
1 泥页岩井壁失稳机理分析泥页岩一般由晶质的黏土矿物、非晶体黏土矿物和非黏土矿物组成。分析硬脆性泥页岩的扫描电镜图像可知,泥页岩中黏土矿物的定向性较好,层理和微裂缝发育。
胜利油田某井沙三段泥页岩岩样的微观结构分析结果表明,岩样中普遍存在微裂缝,有的较发育,宽窄不等,形状多变且不规则[18],裂缝宽度一般为1~25 μm,最大达200 μm。这些微裂缝是泥页岩在形成过程中受到构造应力和上覆岩层压力共同作用的结果。
钻井过程中,钻井液密度较高会造成井眼液柱压力高于地层压力,微裂缝在正压差的作用下由闭合状态迅速扩展,钻井液中的水相就会沿着微裂缝侵入到地层内部;即使没有正压差,泥页岩的亲水性也会导致泥页岩内部的毛细管吸水。进入地层内部的水导致黏土矿物水化膨胀和分散剥落,使孔隙压力增加,泥页岩强度降低,最终发生井壁失稳。另外,泥页岩是由多种黏土矿物组成的,硬脆性泥页岩一般以伊利石和蒙脱石为主,蒙脱石为膨胀性极强的黏土矿物,而伊利石则基本不膨胀,这2种黏土矿物遇水后的吸水膨胀速率相差很大,所产生的膨胀压力也相差很大,造成地层受力不均匀,导致地层沿层理、裂缝的断面发生剥落坍塌。因此,泥页岩中自身存在的微裂缝是井壁失稳的一个重要原因[3]。
2 全固相粒度优化+多元协同封堵技术为了实现对泥页岩微裂缝的有效封堵,在研究微裂缝分布形态的基础上,笔者提出了全固相粒度优化+多元协同封堵技术。
根据理想充填理论[10],当暂堵剂颗粒粒径累计分布曲线上的d90值(指90%的颗粒粒径小于该值)与储层的最大孔喉直径或最大裂缝宽度相等时,可取得理想的暂堵效果。但理想充填理论只考虑了外来固相与储层孔喉匹配的问题,没有考虑钻井液自身固相颗粒(包括超细碳酸钙等刚性颗粒和黏土颗粒)的粒度分布。全固相粒度优化技术的主要思路是:在钻进过程中定期检测钻井液自身的固相粒度分布,并将其看作需添加的一种处理剂,利用暂堵剂颗粒粒径分布优选软件确定需添加的超细碳酸钙的粒度和配比,及时补充合理粒度级配的超细碳酸钙,使钻井液粒度分布与储层孔喉分布实时保持一致。
在对钻井液中超细碳酸钙等刚性颗粒的粒度进行优化的基础上,为了进一步提高封堵效果,对胶乳沥青、纳米乳液和铝基聚合物等3种封堵材料进行复配,利用纳米乳液的表面改性、沥青的变形封堵和铝基聚合物的化学固化作用来共同提高滤饼质量,降低钻井液滤失量,以达到多元协同封堵泥页岩微裂缝的目的。纳米乳液的封堵机理主要有:1) 表面活性剂可以吸附在黏土表面,改变岩石表面的润湿状态,使其发生润湿反转;2) 高分子聚合物在纳米乳液的作用下桥接在一起,可以堵塞比自身直径大的地层孔隙;3) 纳米乳液可以在井壁形成坚韧而致密的保护膜[14-17];4) 沥青类材料在高温软化后挤入封堵颗粒之间的缝隙,并在井壁表面建立一层疏水性不渗透保护层,可减小侵入泥页岩的水的体积;5) 铝基聚合物与滤液中的碱性物质生成一种胶状沉淀,最终与地层矿物的基质结合成一体,可提高敏感性页岩的物理强度,并形成物理屏蔽带,阻止钻井液滤液进一步侵入页岩,显著增强井壁稳定性。
3 微裂缝封堵钻井液性能室内评价以渤海某油田W7井应用的钻井液为例,对其粒度分布进行优化,并对优化后的钻井液进行滤饼抗剪切强度试验和高温高压动滤失试验,以分析评价其基本性能。该井井深3 600.00 m,使用的钻井液配方为:4.0%膨润土浆+1.0%胺基抑制剂+10.0%甲酸钾+2.0%聚合醇+1.5%抗高温防塌降黏降滤失剂+3.0%磺化酚醛树脂+0.5%磺酸盐共聚物+3.0%极压润滑剂。
3.1 粒度分布优化W7井钻井液基本性能测试结果表明,其API中压滤失量为4.8 mL,固相含量为12%。利用Winner 2005A型激光粒度分析仪对其粒度分布进行测定,结果见图 1。
|
| 图 1 W7井钻井液优化前的固相粒度分布曲线 Fig.1 Solid particle size distribution curve before the optimization of drilling fluid used in Well W7 |
根据理想充填理论,先利用目标地层的最大渗透率计算储层的最大孔喉直径,然后在粒度分布曲线上确定一条基线,将钻井液的粒度分布曲线看作一种固相颗粒的粒度分布曲线,选择不同粒度的超细碳酸钙进行复配,使其粒度分布曲线与基线接近,越接近封堵效果越好[19-20]。根据暂堵剂颗粒粒径分布优选软件计算结果,确定添加粒度1 500目和2 500目的2种超细碳酸钙,二者比例为1:2,在钻井液中的加量为5%。同时,为了提高封堵效果,钻井液中添加纳米乳液、胶乳沥青和铝基聚合物3种封堵材料。优化后的W7井钻井液配方(以下称为微裂缝封堵钻井液)为:4.0%膨润土浆+1.0%胺基抑制剂+10.0%甲酸钾+2.0%聚合醇+1.5%抗高温防塌降黏降滤失剂+3.0%磺化酚醛树脂+0.5%磺酸盐共聚物+2.0%胶乳沥青+1.5%纳米乳液+0.5%铝基聚合物+5.0%超细碳酸钙+3.0%极压润滑剂。
根据优化得到的微裂缝封堵钻井液配方配制钻井液,高速搅拌20 min后,测定其API滤失量为3.2 mL,粒度分布曲线如图 2所示。从图 2可以看出,微裂缝封堵钻井液的固相粒度分布频率曲线只有一个峰,表明粒径更加均匀,且粒径累积分布曲线更符合“理想充填理论”曲线,有利于形成更加致密的滤饼,滤失量也就更低。
|
| 图 2 W7井钻井液优化后的固相粒度分布曲线 Fig.2 Solid particle size distribution curve after the optimization of drilling fluid used in Well W7 |
滤饼的抗剪切强度对保持井壁稳定、防止压差卡钻和保护油气层都有重要作用。利用自行研发的钻井完井液滤饼强度评价仪,测定微裂缝封堵钻井液的高温高压滤饼抗剪切强度,并与聚磺钻井液和油基钻井液试验结果进行对比。
滤饼抗剪切强度评价仪的主要测量原理为:动滤失过程中,沉积在滤饼表面的固相颗粒同时受到作用在滤饼上的压差及钻井液剪切作用产生的冲刷力的共同作用,随着滤饼增厚,作用在滤饼表面任一颗粒上的压差减小,当压差作用与剪切作用相等时,颗粒在滤饼上的沉积速率和逃逸速率达到平衡,滤饼厚度不再改变;滤饼厚度稳定后,提高剪切速率有可能冲刷掉部分或全部滤饼,冲刷程度取决于滤饼中颗粒之间的黏附力,而黏附力由钻井液的配方所决定。
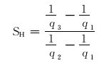
为了评价钻井液滤饼的抗剪切强度,引入无量纲参数——抗剪切强度系数SH,其取值为0≤SH≤1,SH值越大,滤饼抗剪切能力越强,滤饼质量越好。计算方法为:在120 ℃、3.5 MPa试验条件下,分别以剪切速率为400,100和400 s-1剪切90 min,并测定钻井液的高温高压滤失量,然后计算其抗剪切强度系数。滤饼抗剪切强度系数计算公式为:
|
(1) |
式中:SH为高温高压滤饼的抗剪切强度系数;q1为第一次以剪切速率400 s-1剪切90 min的钻井液滤失量,mL;q2为以剪切速率100 s-1剪切90 min的钻井液滤失量,mL;q3为第二次以剪切速率400 s-1剪切90 min的钻井液滤失量,mL。
根据试验结果,计算得到聚磺钻井液、微裂缝封堵钻井液和油基钻井液的抗剪切强度系数分别为0.68,0.74和0.76。可见,微裂缝封堵钻井液体系滤饼的抗剪切强度系数仅略低于油基钻井液,表明其形成的滤饼致密、质量好、封堵能力强,有利于维护井壁稳定。
3.3 高温高压动滤失试验选取胜利油田某井沙三段地层气测渗透率为3.78 mD的泥页岩岩心,进行W7井钻井液优化前后的高温高压动滤失试验,结果见图 3。
|
| 图 3 W7井钻井液优化前后的高温高压动滤失曲线 Fig.3 HTHP dynamic filtration curve before and after the optimization of drilling fluid used in Well W7 |
由图 3可知,W7井钻井液优化后其瞬时滤失量变小,而且随着时间的推移,动滤失速率越来越小,说明在压差作用下可以快速形成封堵层,而且封堵层越来越致密,封堵效果显著。
4 现场应用全固相粒度优化+多元协同封堵技术在渤海某油田和胜利油田大北区块、永553区块、桩129区块的多口井进行了现场应用,通过实时优化调控钻井液中固相粒度分布并配合应用多元协同封堵技术,大大提高了钻井液的封堵性能,解决了沙三段含油泥页岩的坍塌问题,钻井过程中均未发生井眼失稳问题。下面以渤海某油田W8井为例介绍其应用情况。
渤海某油田位于渤海湾盆地,主要开发目的层为古近系沙河街组沙二段和沙三段,储层埋深3 300.00~3 800.00 m,为低渗、异常高温高压油田。W8井为四开次大位移水平井,水平位移达1 700.00 m以上。该井四开井段主要钻遇沙一段、沙二段及沙三段(未钻穿)地层,其中沙一段底部及沙三段中上部地层岩性为褐灰色含油泥页岩,脆性大、强度低、微裂缝发育,施工过程中极易发生井壁掉块、井眼坍塌等井下故障;沙二段地层压力衰竭,且处于断层位置,易发生井漏。针对这种情况,四开井段钻进时应用全固相粒度优化+多元协同封堵技术对钻井液配方进行了优化。
W8井扫完三开水泥塞后进行了钻井液配方优化,优化后的钻井液配方为:4.0%膨润土浆+1.0%胺基抑制剂+10.0%甲酸钾+2.0%聚合醇+2.0%抗高温防塌降黏降滤失剂+3.0%磺化酚醛树脂+0.5%磺酸盐共聚物+2.0%胶乳沥青+1.5%纳米乳液+0.5%铝基聚合物+5.0%超细碳酸钙+3.0%极压润滑剂+重晶石(调整密度为1.45 g/cm3)。钻井液性能为:漏斗黏度65 s,塑性黏度41 mPa·s,动切力13 Pa,静切力3/13 Pa,API滤失量2.8 mL,150 ℃高温高压滤失量8.8 mL,pH值8.5,含砂量0.3%,固相含量18.0%,黏滞系数0.061 2。
四开井段钻进过程中定期测定钻井液的粒度分布,及时调整封堵剂中不同粒径超细碳酸钙的配比,使钻井液粒度分布与地层孔喉、微裂隙的直径相匹配,同时不断补充纳米乳液、胶乳沥青和铝基聚合物,保持钻井液中添加剂的有效含量。该井四开井段钻进过程中钻井液API滤失量保持在2.2~2.8 mL,150 ℃高温高压滤失量为8.4~9.6 mL,具有很好的封堵微裂缝的作用,确保了四开井段的顺利钻进。W8井完钻井深4 735.00 m,水平位移1 935.28 m,钻遇含油泥页岩段长219.00 m,四开大位移水平段钻进过程安全顺利,没有出现任何井下故障,解决了水平井中水基钻井液钻进含油泥页岩地层井壁失稳的难题。
5 结论与建议1) 全固相粒度优化+多元协同封堵技术综合考虑了钻井液自身固相粒度分布和需添加的暂堵剂的粒度分布,固相颗粒粒度级配更加合理,多元协同封堵强化了封堵性能,有效提高了对泥页岩微裂缝的封堵效果。
2) 现场多口井的成功应用表明,应用全固相粒度优化+多元协同封堵技术对钻井液配方进行优化后,泥页岩地层的井壁稳定效果显著。
3) 多元协同封堵技术中采用的胶乳沥青对环境影响较大,限制了其使用范围,需进一步深入研究,找到该类处理剂的替代品。
| [1] |
石秉忠, 胡旭辉, 高书阳, 等.
硬脆性泥页岩微裂缝封堵可视化模拟试验与评价[J]. 石油钻探技术, 2014, 42(3): 32–37.
SHI Bingzhong, HU Xuhui, GAO Shuyang, et al. Visualization sealing simulation test and evaluation of hard brittle shale microfracture[J]. Petroleum Drilling Techniques, 2014, 42(3): 32–37. |
| [2] |
王萍, 屈展, 黄海.
地层水矿化度对硬脆性泥页岩蠕变规律影响的试验研究[J]. 石油钻探技术, 2015, 43(5): 63–68.
WANG Ping, QU Zhan, HUANG Hai. Experimental study of the effect of formation water salinity on creep laws of the hard brittle shale[J]. Petroleum Drilling Techniques, 2015, 43(5): 63–68. |
| [3] |
赵凯, 樊勇杰, 于波, 等.
硬脆性泥页岩井壁稳定研究进展[J]. 石油钻采工艺, 2016, 38(3): 277–285.
ZHAO Kai, FAN Yongjie, YU Bo, et al. Research progress of wellbore stability in hard brittle shale[J]. Oil Drilling & Production Technology, 2016, 38(3): 277–285. |
| [4] |
王建华, 鄢捷年, 苏山林.
硬脆性泥页岩井壁稳定评价新方法[J]. 石油钻采工艺, 2006, 28(2): 28–30.
WANG Jianhua, YAN Jienian, SU Shanlin. New method for evaluating borehole stability in brittle shale[J]. Oil Drilling & Production Technology, 2006, 28(2): 28–30. |
| [5] |
丁乙, 梁利喜, 刘向君, 等.
温度和化学耦合作用对泥页岩地层井壁稳定性的影响[J]. 断块油气田, 2016, 23(5): 663–667.
DING Yi, LIANG Lixi, LIU Xiangjun, et al. Influence of temperature and chemical on wellbore stability in clay shale formation[J]. Fault-Block Oil & Gas Field, 2016, 23(5): 663–667. |
| [6] |
崔云海, 刘厚彬, 杨海平, 等.
焦石坝页岩气储层水平井井壁失稳机理[J]. 石油钻采工艺, 2016, 38(5): 545–552.
CUI Yunhai, LIU Houbin, YANG Haiping, et al. Mechanisms of sidewall stability loss in horizontal wells drilled for shale gas development in Jiaoshiba Block[J]. Oil Drilling & Production Technology, 2016, 38(5): 545–552. |
| [7] |
王洪伟, 黄治华, 李新建, 等.
"适度抑制"及"储层保护"钻井液的研制及应用[J]. 断块油气田, 2014, 21(6): 797–801.
WANG Hongwei, HUANG Zhihua, LI Xinjian, et al. Development and application of drilling fluid with moderate inhibitory and reservoir protection[J]. Fault-Block Oil & Gas Field, 2014, 21(6): 797–801. |
| [8] |
黄维安, 牛晓, 沈青云, 等.
塔河油田深侧钻井防塌钻井液技术[J]. 石油钻探技术, 2016, 44(2): 51–57.
HUANG Weian, NIU Xiao, SHEN Qingyun, et al. Anti-sloughing drilling fluid technology for deep sidetracking wells in the Tahe Oilfield[J]. Petroleum Drilling Techniques, 2016, 44(2): 51–57. |
| [9] |
林常茂, 张永青, 刘超, 等.
新型井壁稳定剂DLF-50的研制与应用[J]. 钻井液与完井液, 2015, 32(4): 17–20.
LIN Changmao, ZHANG Yongqing, LIU Chao, et al. Development and application of the new shale stabilizer DLF-50[J]. Drilling Fluid & Completion Fluid, 2015, 32(4): 17–20. |
| [10] |
金军斌.
塔里木盆地顺北区块超深井火成岩钻井液技术[J]. 石油钻探技术, 2016, 44(6): 17–23.
JIN Junbin. Drilling fluid technology for igneous rocks in ultra-deep wells in the Shunbei Area, Tarim Basin[J]. Petroleum Drilling Techniques, 2016, 44(6): 17–23. |
| [11] |
刘锋报, 邵海波, 周志世, 等.
哈拉哈塘油田硬脆性泥页岩井壁失稳机理及对策[J]. 钻井液与完井液, 2015, 32(1): 38–41.
LIU Fengbao, SHAO Haibo, ZHOU Zhishi, et al. Mechanism and strategy to deal with borehole instability of hard and brittle shales in Halahatang Oilfield[J]. Drilling Fluid & Completion Fluid, 2015, 32(1): 38–41. |
| [12] |
张金波, 鄢捷年.
钻井液中暂堵剂颗粒尺寸分布优选的新理论和新方法[J]. 石油学报, 2004, 25(6): 88–91, 95.
ZHANG Jinbo, YAN Jienian. New theory and method for optimizing the particle size distribution of bridging agents in drilling fluids[J]. Acta Petrolei Sinica, 2004, 25(6): 88–91, 95. DOI:10.7623/syxb200406018 |
| [13] |
蒋官澄, 马先平, 纪朝凤, 等.
广谱"油膜"暂堵剂在油层保护技术中的应用[J]. 应用化学, 2007, 24(6): 665–669.
JIANG Guancheng, MA Xianping, JI Chaofeng, et al. Application of a broad-spectrum oil-film temporary plugging agent to reservoir protection[J]. Chinese Journal of Applied Chemistry, 2007, 24(6): 665–669. |
| [14] |
白小东, 蒲晓林.
有机/无机复合纳米水基钻井液体系研究[J]. 石油钻探技术, 2010, 38(2): 47–50.
BAI Xiaodong, PU Xiaolin. Study of organic/inorganic composite nano-sized water-based drilling fluids[J]. Petroleum Drilling Techniques, 2010, 38(2): 47–50. |
| [15] |
蓝强, 李公让, 张敬辉, 等.
石蜡纳米乳液的性能影响因素及低能乳化法制备[J]. 石油钻探技术, 2012, 40(1): 58–63.
LAN Qiang, LI Gongrang, ZHANG Jinghui, et al. Preparation of paraffin nano-emulsion with low-energy emulsification[J]. Petroleum Drilling Techniques, 2012, 40(1): 58–63. |
| [16] |
张妍, 蓝强, 杨景利, 等.
纳米乳液在油田中的应用[J]. 钻井液与完井液, 2011, 28(2): 76–79.
ZHANG Yan, LAN Qiang, YANG Jingli, et al. Research on application of nano-emulsion in oil field[J]. Drilling Fluid & Completion Fluid, 2011, 28(2): 76–79. |
| [17] |
陈军, 王学军, 高远鹏, 等.
石蜡纳米乳液钻井液技术在水平井中的应用[J]. 钻井液与完井液, 2010, 27(4): 87–89.
CHEN Jun, WANG Xuejun, GAO Yuanpeng, et al. Application of nano-wax emulsion drilling fluid technology in horizontal wells[J]. Drilling Fluid & Completion Fluid, 2010, 27(4): 87–89. |
| [18] |
万绪新.
渤南区块页岩油地层油基钻井液技术[J]. 石油钻探技术, 2013, 41(6): 44–50.
WAN Xuxin. Oil-based drilling fluid applied in drilling shale oil reservoirs in Bonan Block[J]. Petroleum Drilling Techniques, 2013, 41(6): 44–50. |
| [19] |
鄢捷年, 赵胜英, 王兆霖, 等.
理想充填油气层保护技术在青海油田深探井中的应用[J]. 石油钻探技术, 2007, 35(4): 53–55.
YAN Jienian, ZHAO Shengying, WANG Zhaolin, et al. Application of formation damage control technology based on ideal packing theory to deep exploration wells in Qinghai Oilfield[J]. Petroleum Drilling Techniques, 2007, 35(4): 53–55. |
| [20] |
舒勇, 鄢捷年, 宋付英, 等.
暂堵剂图解优化新方法在钻井液设计中的应用[J]. 石油钻探技术, 2008, 36(6): 48–51.
SHU Yong, YAN Jienian, SONG Fuying, et al. The application of new graphical optimizing method of temporary plugging particle size distribution in drilling fluids design[J]. Petroleum Drilling Techniques, 2008, 36(6): 48–51. |


