2. 澳大利亚新南威尔士大学石油工程学院, 悉尼 2052 ;
3. 中石化胜利石油工程有限公司塔里木分公司, 新疆库尔勒 841600
2. School of Petroleum Engineering, University of New South Wales, Sydney, 2052, Australia ;
3. Tarim Branch, Sinopec Shengli Oilfield Service Corporation, Korla, Xinjiang, 841600, China
随着油田勘探开发程度的提高以及生产的需要,大斜度井、水平井越来越多[1-2]。在大斜度井、水平井测井过程中,随钻电磁波电阻率响应受地层界面影响非常大,极化效应明显,这与常规感应测井仪器有很大不同[3]。极化效应在实际电阻率测井资料中的表现主要有2点:界面处响应曲线出现明显的极化角[4-5]和界面附近不同频率或不同线圈距的电阻率曲线互相分离。利用极化效应可以判断和预测钻头在已知地质模型中的位置,及时调整井眼轨迹,从而进行地质导向[6-9]。实际随钻测井过程中发现,在某些大斜度井或水平井中,电阻率曲线并没有出现极化角,给地质导向带来一定不利影响。为此,笔者从基本电磁场理论出发,对层状地层模型中的随钻电阻率测井仪响应进行了模拟,分析了地层界面附近随钻电阻率测井仪的响应规律,总结了极化效应的产生前提和影响因素,并结合实际随钻电阻率测井资料和常规电测井资料分析了极化效应对不同随钻电磁波电阻率曲线的影响,为更好地将其应用于地质导向和地层评价提供了理论依据。
1 物理模型与数值模拟方法对于层状各向异性地层模型(见图 1,图中的μm,σm和εm分别表示m层的地层磁导率、电导率和介电常数),可以将随钻电阻率测井仪的天线简化为磁偶极子[10-13],忽略地层的层状各向异性,可以应用并矢格林函数表示任意方向磁偶极子的电磁场z向的分量:
|
| 图 1 层状地层模型 Fig.1 Model for layered formations |
|
(1) |
|
(2) |
式中:Ez为z向的电场强度,V/m;Hz为z向的磁场强度,A/m;ω为工作频率,rad/m;μ为磁导率,H/m;i为虚数单位;λ为积分变量;r为磁场点径向距离,m;Mh和Mv分别为水平磁矩和垂直磁矩,A·m2;ϕ为方位角,rad;Jn(·)为n阶Bessel函数;kzv和kzh分别为纵向波数和径向波数,kzv=

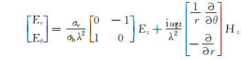
根据麦克斯韦方程组可以得到电磁场的切向分量(Er,Eθ)、(Hr,Hθ)与z向分量的关系:
|
(3) |
|
(4) |
根据式(1)-式(4)可以求得层状地层模型中的电磁场分布。由于层状地层的层状界面存在反射和透射,因此可将地层中的电磁波表示为入射波、反射波和透射波的叠加。
以胜利油田研制的多频随钻电阻率测井仪MRC (见图 2)为测井仪模型进行数值模拟,该测井仪有2 MHz和400 kHz 2种工作频率,长线圈距(发射天线到测井仪记录点的距离)为914.4 mm,短线圈距为558.8 mm,接收线圈间距为228.6 mm,可以测量幅度比电阻率和相位差电阻率。
|
| 图 2 多频随钻电阻率测井仪结构示意 Fig.2 Structure of a multi-frequency resistivity LWD tool |
随钻电阻率测井仪利用交流电的互感原理测量地层的电阻率,发射线圈发射一定频率和幅度的正弦交流电,在周围介质中形成交变电磁场,在线圈结构一定的条件下,接收线圈产生的感应电动势与地层的电导率相关。根据几何因子理论,介质可看成由无数个截面积为drdz、半径为r的单元圆环组成,它们在发射线圈的激励下产生感应电动势和感应电流。测井仪经过不同电阻率地层界面时,不考虑反射,单元感应电流环也经过不同电阻率地层界面,根据欧姆定律,界面两侧的电场不同,会在界面两侧造成电荷积累(如图 3所示),相当于增加了一个与发射信号同频率的附加发射源,使接收线圈的信号发生变化。由电动势信号转换成电阻率信号时,根据理论转换图版,在电阻性地层中,电动势较小的变化会引起电阻率较大的变化,从而产生极化角等边界响应特征。
|
| 图 3 界面响应机理示意 Fig.3 Mechanism of formation interface response |
地层模型为电阻率分别为4和40 Ω·m的地层组成的层状介质模型,应用上述数值模拟方法模拟随钻电阻率测井仪以接近水平姿态穿过不同电阻率地层界面时的响应特征,得到8条电阻率曲线,如图 4所示(图中虚线为真实电阻率,Pha36为线圈距914.4 mm (36 in)的相位差电阻率,Pha22为线圈距558.8 mm (22 in)的相位差电阻率,Amp36为线圈距914.4 mm (36 in)的幅度比电阻率,Amp22为线圈距558.8 mm (22 in)的幅度比电阻率)。
从图 4可以看出,在不同电阻率地层界面附近,相位差电阻率出现了明显的“极化角”,幅度比电阻率“极化角”不明显;2 MHz工作频率下相位差电阻率曲线“极化角”的幅度大于400 kHz工作频率下“极化角”的幅度;长线圈距响应曲线的“极化角”幅度大于短线圈距响应曲线的“极化角”幅度。因此,在同样地层条件下,相位差电阻率曲线比幅度比电阻率曲线更容易出现“极化角”,工作频率越高、线圈距越大越容易出现“极化角”。
|
| 图 4 界面响应数值模拟结果 Fig.4 Numerical simulation result of interface responses |
从图 4还可以看出,除了不同电阻率地层界面附近出现明显的“极化角”外,8条电阻率曲线在界面附近彼此分离。这是因为8条电阻率曲线的探测深度不同,因此受围岩的影响也不同,且探测深度越大,受围岩的影响越大。由于随钻电阻率测井仪的探测深度随着地层电阻率变化而变化,地层电阻率越大,其探测深度越大,因此电阻率曲线的分离程度受地层电阻率的影响。在已知地层模型的情况下,可以根据不同探测深度电阻率曲线的交会反演预测钻头到地层界面的距离,进行精确地质导向。
由图 4可知,在数值模拟中,电阻率曲线很容易出现“极化角”,但实际的随钻电阻率测井资料中,“极化角”现象却并不十分常见,这是因为在数值模拟过程中采用的是阶跃模型,即电阻率在地层界面位置处发生突变,直接由一个电阻率变到另外一个电阻率,但实际地层电阻率的变化往往是渐变的,这在很大程度上消弱了极化角的幅度。
图 5为4种不同地层模型的相位差电阻率模拟结果,所用测井仪的源距为914.4 mm、工作频率为2 MHz。4种地层模型为:由电阻率4和40 Ω·m地层组成的阶跃模型;在阶跃模型中间插入0.3 m厚电阻率8 Ω·m过渡层的地层模型;在阶跃模型中间插入0.5 m厚电阻率8 Ω·m过渡层的地层模型;在阶跃模型中间插入厚度均为0.1 m、电阻率分别为8,12,16,20和30 Ω·m地层组成渐变地层模型。
|
| 图 5 不同地层模型相位差电阻率模拟结果 Fig.5 Numerical simulation result of phase-difference resistivity under different formation models |
由图 5可知,过渡层和渐变层极大弱化了电阻率曲线的“极化角”。此外地层对比度、钻井液的侵入也会弱化电阻率曲线的“极化角”。因此,利用随钻电阻率测井资料进行地质导向时,需要与伽马、方位中子密度测井资料相结合,进行综合分析。
3 应用实例永X断块位于高邮凹陷汉留断层下降盘,为受永1断层的2条分支断层所夹持的构造-岩性圈闭。A井为永X断块上的一口水平井,目的层为E2d25层,设计井深3 689.00 m。E2d25层孔隙度9.5%~13.3%,平均11.4%,渗透率1.2~65.0 mD,平均10.0 mD,为非均质性强的低孔低渗储层。图 6为该井水平段实钻井眼轨迹。
|
| 图 6 永X断块A井地层模型及实钻井眼轨迹 Fig.6 Formation model and borehole trajectory of Well A in Yong X Fault Block |
该井地质导向钻井作业有以下难点:按照井眼轨道设计过断层即进入油层,是否从油层的顶部进入不确定;油层中间有泥岩夹层;为了分段开采,要求钻穿整套油层。该井钻至井深3 050.00 m下入多频多线圈距随钻电阻率测井仪MRC进行地质导向。该井地质导向分为3个阶段:
1)过断层进入油层。E2d2层主要为灰色泥岩夹灰色粉砂岩,自然伽马值约50 API,电阻率大于10 Ω·m。该井钻至井深3 356.00 m时,自然伽马值从90 API左右开始降低,Pha36-2M及Pha22-2M电阻率开始逐步升高(见图 7),表明钻头已进入目的层,与设计轨道相比,提前30.00 m (井深)进入目的层,此时井斜角小于90°,继续增斜钻进。
|
| 图 7 过断层进入油层时的测井曲线 Fig.7 Logging curve in the penetration of pay zone through faults |
2)钻出油层。该井钻至井深3 400.00 m时,自然伽马值升高,Pha36-2M和Pha22-2M电阻率开始逐步降低,2条电阻率曲线明显分离(见图 8),表明此时钻头逐步离开油层,需要调整井眼轨迹。对比进入油层点的垂深下降1.20 m,油层厚度应该大于3.00 m,判断是穿过断层后在油层下部进入目的层,已经从油层底部钻出,需要全力增斜,增斜钻至井深3 434.00 m重新进入油层。
|
| 图 8 钻出油层时的测井曲线 Fig.8 Logging curve in formations out of pay zone |
3)钻遇泥岩夹层。该井在3 500.00~3 540.00 m井段钻遇泥岩夹层,为了穿透整套油层,在井斜角大于90°的情况下继续钻至井深3 548.50 m穿过泥岩夹层,Pha36-2M电阻率曲线出现了明显的“极化角”(见图 9)。结合自然伽马测井数据,判断钻头进入油层。
|
| 图 9 穿过泥岩夹层时的测井曲线 Fig.9 Logging curve in penetration of mudstone interbed |
在3 510.00~3 560.00 m井段随钻测井过程中,随钻电阻率曲线出现了明显的分离情况,并在井深3 548.50 m处存在明显的“极化角”,且长线圈距电阻率曲线“极化角”的幅度大于短线圈距,利用这些响应特征可以进行地质导向。
|
| 图 10 模拟电阻率曲线与实测电阻曲线的对比 Fig.10 Comparison between simulated and measured resistivity curves |
该井在完钻后进行了感应电阻率测井,参考井眼轨迹,建立了地层模型,分别模拟了随钻电阻率测井响应与感应电阻率测井响应,模拟结果与实测结果吻合(见图 10)。值得注意的是,长线圈距极化角的幅度与理论极化角的幅度存在一定差别,这是因为电阻率测量值在达到几百甚至上千欧姆·米的情况下,由测井仪测得的电导率转换为电阻率的误差会达到30%以上。模拟发现,在该井地层条件下双感应电阻率测井曲线在井深3 548.50 m处的“极化角”不明显,而且深、中感应电阻率曲线基本重合,这与理论模拟曲线一致,说明常规感应电阻率测井由于工作频率低,极化效应不明显。随钻电阻率测井仪测得的两条电阻率曲线则分离严重,且在井深3 548.50 m处长线圈距曲线“极化角”明显,这与上文的分析是一致的。
结合地层模型可以发现,由于受极化效应影响,长线圈距(Pha36)电阻率高于地层真实电阻率,短线圈距电阻率(Pha22)接近于地层真实电阻率,因此在利用随钻电阻率测井资料评价地层时,应特别注意极化效应的影响,从而选择适当的电阻率测井曲线进行地层评价。
4 结论1)对于确定的地层,随钻电阻率测井仪的线圈距越大、工作频率越高,地层界面的极化效应越显著。由于极化效应的影响,随钻电阻率测井曲线在层界面附近会出现“极化角”和长短线圈距电阻率曲线分离的响应特征,利用这些响应特征可以预测和判断界面位置。
2)大斜度井或水平井的随钻电阻率测井曲线由于受极化效应的影响,使测得的地层电阻率与地层真实电阻率存在一定偏差。因此,应选择极化效应小的电阻率测井曲线或者对极化效应进行校正后来评价地层。
3)常规随钻电阻率测井仪在地质模型较为确定的情况下可以进行地质导向,但由于其不具备方位特性,有效探测深度较小,在较为复杂地层条件下的应用受到一定限制。因此,应研发具备更大探测深度和能测方位的随钻电磁波测井仪。
| [1] |
沈忠厚, 黄洪春, 高德利.
世界钻井技术新进展及发展趋势分析[J]. 中国石油大学学报(自然科学版) , 2009, 33 (4) : 64–70.
SHEN Zhonghou, HUANG Hongchun, GAO Deli. Analysis on new development and development trend of worldwide drilling technology[J]. Journal of China University of Petroleum (Edition of Natural Science) , 2009, 33 (4) : 64–70. |
| [2] |
苏义脑.
地质导向钻井技术概况及其在我国的研究进展[J]. 石油勘探与开发 , 2005, 32 (1) : 92–95.
SU Yinao. Geosteering drilling technology and its development in China[J]. Petroleum Exploration and Development , 2005, 32 (1) : 92–95. |
| [3] | ANDERSON B I, BONNER S, LULING M G, et al.Response of 2 MHz LWD resistivity and wireline induction tools in dipping beds and laminated formation:the SPWLA 31st Annual Logging Symposium, Lafayette, Louisiana, June 24-27, 1990[C]. |
| [4] |
杨震.非均匀复杂地层随钻电磁波测井响应研究[D].东营:中国石油大学(华东), 2009.
YANG Zhen.Response study of electromagnetic logging while drilling in complicated heterogeneous strata[D].Dongying:China University of Petroleum (Huadong), 2009. http://cdmd.cnki.com.cn/Article/CDMD-10425-2009221593.htm |
| [5] |
杨震, 刘庆成, 岳步江, 等.
随钻电磁波测井中极化角的形成机理及其影响因素模拟分析[J]. 测井技术 , 2010, 34 (3) : 210–214.
YANG Zhen, LIU Qingcheng, YUE Bujiang, et al. On mechanism of polarization angle of electromagnetic logging while drilling and its influence factors simulation[J]. Well Logging Technology , 2010, 34 (3) : 210–214. |
| [6] | EFNIK M S, HAMAWI M, SHAMRI A A.Using new advances in LWD technology for geosteering and geologic modeling[R].SPE 57537, 1999. https://www.onepetro.org/download/conference-paper/SPE-57537-MS?id=conference-paper%2FSPE-57537-MS |
| [7] |
郝以岭, 杜志强.
OnTrak随钻测井资料在冀东油田地质导向中的应用[J]. 测井技术 , 2009, 33 (2) : 148–152, 156.
HAO Yiling, DU Zhiqiang. Application of geosteering service based on OnTrak MWD/LWD platform in Jidong Oilfield[J]. Well Logging Technology , 2009, 33 (2) : 148–152, 156. |
| [8] |
史晓锋.
水平井中随钻电阻率测量仪定位和预测地层界面的方法[J]. 测井技术 , 2006, 30 (2) : 119–121.
SHI Xiaofeng. Methods for orientation of formation layerings and formation boundary prediction with LWD resistivity logs in HZ wells[J]. Well Logging Technology , 2006, 30 (2) : 119–121. |
| [9] |
陈华, 范宜仁, 邓少贵, 等.
水平井中随钻电阻率实时确定地层界面方法[J]. 吉林大学学报(地球科学版) , 2011, 41 (5) : 1623–1629.
CHEN Hua, FAN Yiren, DENG Shaogui, et al. Methods for real-time determination of formation boundary with LWD resistivity logs in horizontal wells[J]. Journal of Jilin University (Earth Science Edition) , 2011, 41 (5) : 1623–1629. |
| [10] |
高杰, 辛秀艳, 陈文辉, 等.
随钻电磁波电阻率测井之电阻率转化方法与研究[J]. 测井技术 , 2008, 32 (6) : 503–507.
GAO Jie, XIN Xiuyan, CHEN Wenhui, et al. Resistivity derivation in electromagnetic wave propagation resistivity logging while drilling[J]. Well Logging Technology , 2008, 32 (6) : 503–507. |
| [11] |
魏宝君, 陈涛, 侯学理, 等.
利用径向成层介质的Green函数和积分方程模拟含金属套管井间电磁场的响应[J]. 中国石油大学学报(自然科学版) , 2014, 38 (1) : 57–63.
WEI Baojun, CHEN Tao, HOU Xueli, et al. Simulating cross-hole electromagnetic field's response with metal casing using Green's functions of radial-layered medium and integral equations[J]. Journal of China University of Petroleum (Edition of Natural Science) , 2014, 38 (1) : 57–63. |
| [12] |
魏宝君, 王颖, 王甜甜.
电磁波电阻率仪器的基本理论及其在随钻测量中的应用[J]. 地球物理学进展 , 2009, 24 (2) : 774–781.
WEI Baojun, WANG Ying, WANG Tiantian. The basic theory of electromagnetic wave resistivity instrument and its application to measurement of while-drilling[J]. Progress in Geophysics , 2009, 24 (2) : 774–781. |
| [13] |
其木苏荣, 赵永芳, 井孝功.
偶极子在径向非均匀介质中的电磁场分布[J]. 大学物理 , 2004, 23 (8) : 16–19.
Chimedsurong, ZHAO Yongfang, JING Xiaogong. The electromagnetic field of MD in radial in homogeneous medium[J]. College Physics , 2004, 23 (8) : 16–19. |
| [14] |
SY/T 6974-2013随钻电磁波电阻率测井仪[S].
SY/T 6974-2013 Electromagnetic propagation resistivity logging tool while drilling[S]. |


