粒子冲击钻井是利用金属粒子高速、高频冲击地层来辅助破碎岩石,能显著提高机械钻速,为突破硬地层和强研磨性地层钻井面临的“钻速慢、周期长、成本高”的技术瓶颈带来了希望[1-2]。粒子对岩石的冲击作用机理是该技术研究的核心内容之一。目前,众多学者主要通过有限元法对粒子冲击破岩过程进行了数值模拟研究:王明波[3]、颜廷俊[4]和况雨春[5]等人采用ANSYS研究了单粒子冲击破岩的过程;伍开松[6]和赵健[7]等人利用LS-DYNA研究了多粒子联合冲击破岩的规律;G.A.Tibbitts等人[8]从受力的角度探讨了粒子冲击破碎机理。上述研究侧重于粒子冲击钻井水力参数的优化,均未建立粒子冲击破岩深度理论模型,导致理论研究滞后于实际应用,影响了粒子冲击钻井技术的发展。
空腔膨胀理论成功用于解决弹丸冲击靶板的问题,成为解决冲击问题的重要理论方法[9-11]。该理论认为,在弹体冲击岩石的过程中,岩石内扩展出球形空腔,球形空腔膨胀形成岩石破碎坑[12-13]。笔者基于动态球形空腔膨胀理论,对粒子微元进行受力分析,推导粒子所受阻力与冲击速度的关系,结合粒子运动微分方程,建立粒子冲击破岩深度的理论模型,分析粒子冲击破岩的微观过程,为粒子冲击钻井技术的实际应用提供理论支撑。
1 粒子冲击破岩的理论模型 1.1 动态球形空腔膨胀理论球形空腔在岩石内膨胀的过程中,岩石产生塑性变形和弹性变形,形成空腔区、塑性区、弹性区和未扰动区(见图 1),球形空腔动态扩展形成岩石破碎坑。
|
| 图 1 球形空腔膨胀示意图 Fig.1 Schematic diagram of spherical cavity expansion |
在粒子冲击岩石的过程中,粒子表面的法向受到岩石的挤压产生压应力,即受到表面法向应力。由于空腔膨胀过程与粒子冲击过程类似,故该表面法向应力即为空腔的表面法向应力。根据Forrestal的动态球形空腔膨胀理论[14]可知,空腔表面法向应力与空腔膨胀速度的关系为:
|
(1) |
式中:σn为粒子冲击过程中受到的表面法向应力,Pa;σc为岩石的抗压强度,Pa;vn为空腔膨胀速度,即粒子表面法向速度,m/s;ρ为岩石的密度,kg/m3;A和B为反映岩石材料本构特征的常数。
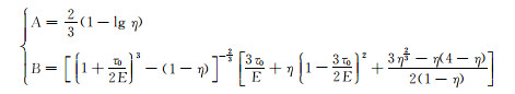
其中,A、B采用V.K.Luk等人[15]推荐的方法计算:
|
(2) |
式中:E为岩石材料的弹性模量,Pa;η为岩石的压缩体积应变率;τ0为岩石的抗剪强度,Pa。
式(1)描述了球形空腔的动态膨胀过程与粒子冲击岩石的实际物理过程之间的关系,可以用来分析粒子冲击破岩的作用机理。
1.2 粒子冲击过程分析假设粒子在冲击破岩过程中不变形、不旋转。设粒子初始入射速度为v0,冲击破岩深度为hZ。以粒子对岩石的初始撞击点为原点,以竖直向下的方向为Z轴正向,水平方向为X轴,建立如图 2所示的坐标系XOZ。
|
| 图 2 粒子冲击岩石过程受力分析 |
图 2中,θ为球形粒子表面某点的法线方向与Z轴的夹角,取粒子表面一个微元,所对应的角度为dθ。该微元表面受到的法向应力为σn,微元表面和岩石之间的摩擦产生摩擦应力στ,即切向应力。
根据图 2的几何关系可得:
|
(3) |
式中:vZ为冲击破岩过程中任意时刻的粒子速度,m/s;θ为球形粒子表面某点的法线与Z轴的夹角,(°)。
对粒子冲击过程受力分析可得,作用在粒子微元面上的法向阻力为:
|
(4) |
式中:Fn为粒子受到的法向阻力,N;r为粒子的半径,m。
作用在粒子微元面上的切向阻力为:
|
(5) |
式中:Fτ为粒子受到的切向阻力,N;στ为微元表面受到的切向应力,Pa。
根据库伦摩擦定律,可知:
|
(6) |
式中:μ为滑动摩擦系数,其值与粒子入射速度及岩石的材料有关,其线性经验计算公式见文献[16]。
将作用在粒子微元面上的法向阻力和切向阻力在轴向合成:
|
(7) |
式中:FZ为粒子冲击岩石过程中受到的合阻力,N。
θ的积分区间为θ∈[0, φ],根据图 2中的几何关系,可得:
|
(8) |
式中:φ为粒子冲击破岩深度所在平面与球形粒子表面的相交线上的任意点的法线与Z轴的夹角,(°);hZ为粒子冲击破岩深度,m。
所以,粒子垂直冲击岩石的过程中,所受的合阻力为:
|
(9) |
由牛顿第二定律可得粒子运动微分方程:
|
(10) |
式中:m为粒子质量,kg;t为粒子冲击岩石的作用时间,s。
由式(10)可见,一定质量的粒子冲击破岩的深度取决于粒子入射速度和所受阻力。
1.3 理论模型的建立与求解 1.3.1 粒子的冲击破岩深度与初始入射速度关系由式(9)和式(10)可得:
|
(11) |
初始条件:
|
(12) |
式中:v0为粒子初始入射速度,m/s。
所以,粒子冲击岩石破碎深度理论模型的积分形式为:
|
(13) |
其中,FZ的积分上限为
当破岩深度大于粒子半径时,
|
(14) |
当破岩深度小于粒子半径时,采用以下步骤求解:首先假定冲击破岩深度h′Z,代入式(9)计算阻力FZ;然后将阻力FZ代入式(13),在给定的粒子初始入射速度v0的条件下计算hZ;最后,将h′Z与hZ进行比较,若满足
由式(10)可得:
|
(15) |
初始条件为:
|
(16) |
对式(15)两边积分,可得vZ与t的关系式:
|
(17) |
所以,将速度vZ对时间t积分,即
当破岩深度大于粒子半径时,破岩深度与时间的关系式为:
|
(18) |
其中
|
(19) |
|
(20) |
当破岩深度小于粒子半径时,采用如下步骤求解:首先假定冲击破岩深度h′Z,代入式(9)积分计算阻力FZ;然后将阻力FZ代入式(17),得到vZ与t的关系式,并在给定粒子冲击的某一具体时刻t的条件下,利用该关系式计算hZ;最后,将h′Z与hZ进行比较,若满足
根据建立的粒子冲击破岩深度的理论计算模型和给出的定解条件和求解方法,可计算粒子冲击破岩深度与粒子初始入射速度的关系和破岩深度随时间发展的历程。
2 室内试验及结果分析 2.1 室内试验为了验证理论模型计算的准确性,开展了单个粒子单次冲击破岩的室内试验。试验装置如图 3所示,主要包括粒子发射装置(电磁炮)、速度测试装置(高速摄像机)和岩心夹持装置。粒子由电磁炮发射,高速摄像机捕捉粒子的运动过程,摄像以网格纸为背景,并设置了标尺,以测试粒子的初始入射速度。所有岩心均取自同一块岩石,消除岩性对破岩深度的影响。岩心直径为80 mm、长度为120 mm,用岩心夹持装置固定,整个粒子冲击试验装置安装在防护玻璃罩内,保证试验的安全进行。
|
| 图 3 粒子冲击破岩试验装置 Fig.3 Schematic diagram of experimental system for particle impacting on rocks |
试验流程为:1)连接试验设备,调试高速摄像机和电磁炮;2)在电磁炮中放入单个粒子,打开电磁炮的同时,高速摄像机开始摄像;3)粒子冲击岩石后,根据图像计算粒子初始入射速度;4)试验结束后,测量并记录岩石破碎深度。为了消除试验的偶然性对结果准确性的影响,每个速度进行3次试验,取岩石破碎深度的平均值作为试验值,对所得试验数据进行整理分析。
粒子冲击钻井技术以深井硬地层破岩为研究背景,目标试验层位主要集中在西南油气田荷包场、大猫坪、龙会场等区块的须家河组地层。故试验采用花岗岩岩心,为与理论模型的计算相对应,试验前测试了岩性参数,岩石密度2 572.6 kg/m3,弹性模量23.41 GPa,泊松比0.30,抗压强度67.93 MPa,抗剪强度9.82 MPa,体积应变0.10,滑动摩擦系数0.04。粒子冲击破岩试验后岩样的形态如图 4所示。
|
| 图 4 花岗岩岩心粒子冲击破岩后岩样形态 Fig.4 Granite samples after breaking under particle impacting |
在计算和试验过程中,根据粒子冲击钻井的实际施工情况,取粒子密度为7 800 kg/m3,粒子半径为0.001 m。为了消除粒径对破岩深度的影响,采用无因次破岩深度(理论计算或试验获得的破岩深度与粒子半径的比值)进行分析。粒子初始入射速度对破岩深度的影响试验结果如图 5所示。
|
| 图 5 无因次破岩深度与粒子入射速度的关系曲线 Fig.5 Correlation between incident velocity and dimensionless depth |
从图 5可以看出,无因次破岩深度的理论计算值与试验值均随着粒子初始入射速度增大呈线性增加。这是因为质量相同的粒子,初始入射速度越大,粒子所具有的动能越大,冲击破岩时作用到岩石上的能量越大,破岩深度就越大。从图 5还可以看出,无因次破岩深度的理论计算值与试验值较为吻合,说明利用动态空腔膨胀理论建立的粒子冲击破岩深度理论模型是正确的,可用于冲击破岩机理的理论分析。
粒子冲击钻井技术在工程应用时,粒子初始入射速度并非越大越好,因为粒子初始入射速度过大,会使粒子冲击破岩后嵌入岩石无法反弹,影响后续粒子的破岩效果。所以,以粒子的破岩深度小于或等于粒子的半径为宜[4]。由图 5可见,当粒子初始入射速度为160 m/s时,无因次破岩深度为1.04,即粒子的破岩深度约等于粒子的半径;由式(14)可计算出,当粒子初始入射速度为156.07 m/s时,破岩深度等于粒子半径,这与国外推荐的粒子冲击钻井技术现场应用的粒子入射速度152.4 m/s基本一致[1]。所以,粒子初始入射速度为150~160 m/s较为合适。
由图 5还可以看出,当粒子初始入射速度较小时,理论计算值与试验值吻合较好,随着粒子初始入射速度增大,两者的差距有拉大的趋势。这是因为粒子在冲击岩石的过程中主要受到2部分阻力作用,一部分是法向和切向阻力,即表面法向应力和切向应力;另一部分是由于粒子与岩石的相对运动产生的动态摩擦黏滞阻力,根据文献[17]的研究结果,黏滞阻力随着粒子初始入射速度增大而增大。而笔者在研究中,没有计算黏滞阻力的影响,导致速度较大时理论计算值偏大。但从图 5可以看出,当粒子初始入射速度大于200 m/s时,理论计算值与试验值的差距才比较明显,而根据粒子冲击钻井技术的研究背景,粒子的初始入射速度在90~200 m/s,所以,笔者建立的粒子冲击破岩深度的理论模型适用于粒子冲击过程的计算分析。
2.2.2 岩石破碎坑深度与冲击时间的关系取粒子半径为0.001 m,粒子入射速度160 m/s,利用粒子冲击破岩深度与时间的关系模型计算破岩深度随时间的变化,结果如图 6所示。
|
| 图 6 无因次破岩深度-时间曲线 Fig.6 Time and dimensionless depth plot for rock breaking |
从图 6可以看出,粒子以160 m/s的入射速度冲击岩石后,33 μs时粒子速度降为0(即无因次破岩深度不再增加),此时破岩深度达最大,无因次破岩深度为1.04。粒子冲击破岩的无因次破岩深度随破岩时间增长表现出对数增长的规律,且呈快慢交替的阶跃式增长。这是因为岩石内空腔膨胀的过程是一个能量转化、积累和释放的过程,粒子冲击岩石的动能转化为岩石的内能,促使岩石内细观裂纹的生成、扩展和汇聚,形成局部的球形破碎核。当该破碎核的能量蓄积到一定程度时,空腔迅速膨胀使能量释放,导致空腔周围岩石受到拉伸剪切作用而迅速破碎,此时破碎坑深度快速增加;之后,岩石破碎核继续蓄积能量,破碎坑深度缓慢发展;该过程交替进行,实现岩石的跃进式破碎。另外,粒子的部分动能以球面应力波的形式在岩石中传播,也是一个需要时间的过程。
3 结论与建议1) 基于动态球形空腔膨胀理论建立了粒子冲击破岩深度的理论模型,并通过室内试验对理论计算结果进行了验证,结果表明该理论模型准确可行,可用于粒子冲击破岩过程的理论分析。
2) 无因次破岩深度随粒子初始入射速度增大呈线性增大,但并非粒子初始入射速度越大越好。考虑粒子冲击钻井的工程应用需求,粒子初始入射速度为150~160 m/s较为合适。
3) 无因次破岩深度随破岩时间增长呈现出对数增长的规律,由于岩石内空腔膨胀的过程是一个能量转化、积累和释放的过程,使无因次破岩深度呈快慢交替的阶跃式增长。
4) 对粒子冲击破岩的理论分析尚未完善,实际应用中,粒子以一定角度倾斜冲击破岩,建议考虑倾斜角度对破岩深度的影响,建立粒子倾斜冲击破岩深度的理论计算模型,以便全面分析粒子对岩石的冲击作用规律。
| [1] |
赵健, 韩烈祥, 徐依吉, 等.
粒子冲击钻井技术理论与现场试验[J]. 天然气工业 , 2014, 34 (8) : 102–107.
ZHAO Jian, HAN Liexiang, XU Yiji, et al. A theoretical study and field test of the particle impact drilling technology[J]. Natural Gas Industry , 2014, 34 (8) : 102–107. |
| [2] |
徐依吉, 赵健, 毛炳坤, 等.
冲击钻井粒子注入系统研究[J]. 石油钻采工艺 , 2012, 34 (1) : 1–5.
XU Yiji, ZHAO Jian, MAO Bingkun, et al. Research on particle injection system in percussion drilling[J]. Oil Drilling & Production Technology , 2012, 34 (1) : 1–5. |
| [3] |
王明波, 王瑞和, 陈炜卿.
单个磨料颗粒冲击岩石过程的数值模拟研究[J]. 石油钻探技术 , 2009, 37 (5) : 34–38.
WANG Mingbo, WANG Ruihe, CHEN Weiqing. Numerical simulation study of rock breaking mechanism and process under abrasive water jet[J]. Petroleum Drilling Techniques , 2009, 37 (5) : 34–38. |
| [4] |
颜廷俊, 姜美旭, 张扬, 等.
基于ANSYS-LSDYNA的围压下粒子冲击破岩规律[J]. 断块油气田 , 2012, 19 (2) : 240–243.
YAN Tingjun, JIANG Meixu, ZHANG Yang, et al. Study on rock breaking for particle impacting with confining pressure based on ANSYS-LSDYNA[J]. Fault-Block Oil & Gas Field , 2012, 19 (2) : 240–243. |
| [5] |
况雨春, 朱志镨, 蒋海军, 等.
单粒子冲击破岩实验与数值模拟[J]. 石油学报 , 2012, 33 (6) : 1059–1063.
KUANG Yuchun, ZHU Zhipu, JIANG Haijun, et al. The experimental study and numerical simulation of single-particle impacting rock[J]. Acta Petrolei Sinica , 2012, 33 (6) : 1059–1063. |
| [6] |
伍开松, 荣明, 李德龙, 等.
双粒子联合冲击破岩仿真研究[J]. 岩土力学 , 2009, 30 : 19–23.
WU Kaisong, RONG Ming, LI Delong, et al. Simulation study of impacting breaking rock by double particle[J]. Rock and Soil Mechanics , 2009, 30 : 19–23. |
| [7] |
赵健, 石超, 徐依吉, 等.
钢粒间干涉对冲击破岩效果的影响[J]. 高压物理学报 , 2016, 30 (2) : 163–169.
ZHAO Jian, SHI Chao, XU Yiji, et al. Numerical and experimental analysis of rock breaking effect by steel shot impacting intervention[J]. Chinese Journal of High Pressure Physics , 2016, 30 (2) : 163–169. |
| [8] | TIBBITTS G A, GALLOWAY G G. Particle drilling alters standard rock-cutting approach[J]. World Oil , 2008, 229 (6) : 37–44. |
| [9] | XU Y, KEER L M, LUK V K. Elastic-cracked model for penetration into unreinforced concrete targets with ogival nose projectiles[J]. International Journal of Solids & Structures , 1997, 34 (12) : 1479–1491. |
| [10] | SATAPATHY S. Dynamic spherical cavity expansion in brittle ceramics[J]. International Journal of Solids and Structures , 2001, 38 (32/33) : 5833–5845. |
| [11] | CHOCRONA S, ANDERSON Jr C E, WALKERB J D, et al. A unified model for long-rod penetration in multiple metallic plates[J]. International Journal of Impact Engineering , 2003, 28 (4) : 391–411. DOI:10.1016/S0734-743X(02)00069-6 |
| [12] |
周辉, 文鹤鸣.
动态柱形空穴膨胀模型及其在侵彻问题中的应用[J]. 高压物理学报 , 2006, 20 (1) : 67–78.
ZHOU H, WEN H M. Dynamic cylindrical cavity expansion model and its application to penetration problems[J]. Chinese Journal of High Pressure Physics , 2006, 20 (1) : 67–78. |
| [13] | HE T, WEN H M, GUO X J. A spherical cavity expansion model for penetration of ogival-nosed projectiles into concrete targets with shear-dilatancy[J]. Acta Mechanica Sinica , 2011, 27 (6) : 1001–1012. DOI:10.1007/s10409-011-0505-1 |
| [14] | FORRESTAL M J, LUK V K. Dynamic spherical cavity-expansion in a compressible elastic-plastic solid[J]. Journal of Applied Mechanics , 1988, 55 (2) : 275–279. DOI:10.1115/1.3173672 |
| [15] | LUK V K, FORRESTAL M J. Penetration into semi-infinite reinforced-concrete targets with spherical and ogival nose projectiles[J]. International Journal of Impact Engineering , 1987, 6 (4) : 291–301. DOI:10.1016/0734-743X(87)90096-0 |
| [16] | FORRESTAL M J. Penetration into dry porous rock[J]. International Journal of Solids and Structures , 1986, 22 (12) : 1485–1500. DOI:10.1016/0020-7683(86)90057-0 |
| [17] |
尹放林, 王明洋, 钱七虎.
弹体垂直侵彻深度工程计算模型[J]. 爆炸与冲击 , 1997, 17 (4) : 333–339.
YIN Fanglin, WANG Mingyang, QIAN Qihu. An engineering computing model for penetration depth of projectile normal into target[J]. Explosion and Shock Waves , 1997, 17 (4) : 333–339. |


