节能降耗,降低生产成本,对于提高油田经济效益有重要的作用,而围绕抽油机平衡寻找节能降耗切入点,可以提高抽油机系统效率。游梁式抽油机调平衡是采油生产管理工作中一项重要的内容,关系到抽油机是否安全节能运行[1, 2][3]100。游梁式抽油机调平衡的方法主要有电流法、功图扭矩法和功率曲线法。电流法和功图扭矩法在现场应用普遍,但随着功率曲线测试的普及,利用功率曲线调平衡的方法越来越受到关注。功率曲线调平衡的方法也为解决抽油机能耗高、系统效率低、“大马拉小车”的问题提供了新途径。
中国石油天然气集团公司企业标准《游梁式抽油机平衡及操作规范》(Q/SY 1233—2009)中,以上下冲程中平均功率相等为平衡准则,推导出利用功率曲线法求解游梁平衡抽油机游梁平衡重调整量的公式,推导该公式时假设上下冲程时间相等,但在实际生产中,抽油机上下冲程运行时间并不一定相等。为此,有必要考虑上下冲程运行时间不一定相等的情况,确定上下冲程目标平均功率,利用平衡重的平均平衡功率变化与电机功率变化的关系[1, 4, 5],推导游梁平衡重调整量计算新模型,以提高平衡重调整量的计算精度,确保游梁式抽油机安全节能运行。
1 平均功率的计算 1.1 游梁式抽油机急回特性在游梁式抽油机四连杆机构中(见图1),当抽油机曲柄OC做匀角速度圆周运动时,抽油机游梁O′A则在O′A′与O′A″之间做往复运动。曲柄在OC′和OC″两个极限位置时所夹锐角θ为极位夹角。
|
| 图1 抽油机运动示意 Fig.1 Movement schematic of pumping units |
当游梁式抽油机曲柄做匀角速度运行时,抽油机上下冲程运行的时间分别为:
由图1可知,φ1=π+θ,φ2=π-θ。
从图1还可以看出,抽油机上下冲程运行时间与抽油机的曲柄旋向、抽油机极位夹角有关。假设图1中的曲柄顺时针旋转时,则存在以下关系:
当I=B时,极位夹角θ=0,φ1=φ2,tu=td;
当I>B时,极位夹角θ为正,φ1>φ2,tu>td;
当IB<时,极位夹角θ为负,φ1<φ2,tu<td。
其中,I为游梁轴中心到曲柄轴中心的水平距离,m;B为悬点处在上、下死点时连杆和游梁轴的结合点到游梁轴中心的水平距离,m。目前国内使用的常规游梁式抽油机主要采用极位夹角为正的偏移四连杆机构[5, 6, 7],具有急回运动特性,即上冲程慢,下冲程快[5],因此将上下冲程运行时间默认为相等是不符合实际生产情况的。
1.2 上下冲程电机平均输出功率计算式假设在一个冲程内测试记录了N组输出功率[4],对于游梁平衡方式,从悬点位于下死点开始到上死点结束,前Nu组输出功率的平均值就是上冲程电机平均输出功率$\mathop p\limits^ - $u;从悬点位于上死点开始到下死点结束,后Nd组输出功率的平均值就是下冲程电机平均输出功率$\mathop p\limits^ - $d。上下冲程电机平均输出功率的计算式为:
文献[4]给出了未考虑上下冲程运行时间不相等情况的上下冲程电机平均输出功率的计算式:
判断抽油机是否实现理想平衡的依据主要有以下3个[2][3]117-130:1)抽油机上下冲程电机对外做功相等;2)上下冲程减速箱曲柄轴峰值扭矩相等;3)整个冲程中减速箱曲柄轴扭矩均方根值最小。
依据抽油机上下冲程电机所做功相等的平衡准则,考虑上下冲程时间不一定相等的情况,结合平均功率的定义,计算上下冲程调平衡的目标平均功率:
为达到目标平均功率,上下冲程电机平均输出功率调整值分别为:
对于采用游梁平衡的游梁式抽油机,游梁平衡重依靠重力做功。上冲程中,平衡重的平均平衡功率$\mathop p\limits^ - $pu为:
下冲程中,平衡重的平均平衡功率$\mathop p\limits^ - $pd为:
游梁平衡重依靠重力做功,调整游梁平衡重的重量,平衡重的平均平衡功率也随之改变。上下冲程中,平衡重平均平衡功率的变化与电机平均输出功率的变化存在以下关系[2, 7, 8, 9, 10, 11, 12, 13, 14]。
结合式(9)—(14),可得:
根据抽油机的几何关系(如图2所示),Hy的计算公式为[4, 5, 6, 7]:
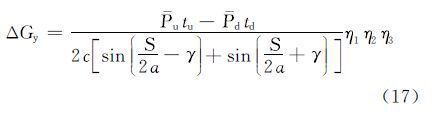
将式(16)代入式(15)中,推导出平衡重调整量的计算新模型为:
当ΔGy为正时,表示要增加游梁平衡块的重量;当ΔGy为负时,表示要减少游梁平衡块的重量[15, 16, 17, 18, 19, 20, 21]。
式(17)考虑了上下冲程运行时间不相等的情况。如果不考虑上下冲程运行时间不相等的情况,即认为tu=td=$\frac{t}{2}$。此时,式(17)化为:
该方法假设条件是曲柄匀角速度运转,故该模型不适合于变频调速电机驱动的游梁式抽油机。
3 计算实例及结果分析已知参数:抽油机前臂长5.5 m,抽油机平衡臂长3.162 m,游梁平衡角0.157 rad,光杆冲程6 m,冲次4 min-1,上冲程时间8.5 s,下冲程时间6.5 s。皮带效率η1为90%,减速箱效率η2为90%,四连杆效率η3为95%。电机输出功率曲线如图3所示。
|
| 图2 游梁平衡抽油机的几何关系 Fig.2 Geometric relationship of beam-balanced pumping units |
按照新模型计算得到ΔGy为3.640 kN。按照简化模型(式(18))计算得到ΔGy为2.250 kN。利用平衡重调整量与电机输出功率变化量的对应关系[2],分别按新模型和简化模型计算出的调整量计算电机输出功率曲线,结果见图3。根据图3中的电机输出功率曲线,利用上文公式就可计算按照不同模型调整后上下冲程的平均功率和电机所做的功,结果见表1。
|
| 图3 电机输出功率曲线 Fig.3 Motor output power curve |
| 冲程 | 平均输出功率/kW | 电机做功/kJ | ||||
| 调平衡前 | 新模型 | 简化模型 | 调平衡前 | 新模型 | 简化模型 | |
| 上冲 | 7.042 | 5.145 | 5.870 | 59.861 | 43.734 | 49.894 |
| 下冲 | 4.523 | 6.101 | 6.051 | 29.401 | 45.468 | 39.331 |
由表1可知:游梁平衡重调整前后,整个冲程电机做功基本不变,均约为89.2 kJ;应用新模型调整平衡重后,上下冲程电机做功差值由30.460 kJ减小为1.734 kJ;应用简化模型调整平衡重后,上下冲程电机做功差值由30.460 kJ减小为10.563 kJ。此外,应用新模型调整平衡重后,上下冲程峰值功率相差1.192 kJ,而应用简化模型调整平衡重后,对应差值为1.409 kJ,由此可见,按照新模型调整平衡重后的上下冲程中峰值功率更接近(见表2)。
| 条件 | 上冲程峰值功率/kW | 下冲程峰值功率/kW | 上下冲程峰值功率差/kW |
| 调平衡 | 14.187 | 8.568 | 5.618 |
| 简化模型 | 12.414 | 11.005 | 1.410 |
| 新模型 | 11.319 | 12.511 | -1.192 |
假设抽油机整个冲程运行时间是15 s不变,应用新模型分析抽油机上下冲程运行时间对平衡重调整量的影响,结果见图4。
|
| 图4 平衡重调整量与抽油机上下冲程运行时间的关系 Fig.4 The relationship between the counterbalance weight adjustment and the upstroke/downstroke time of pumping units |
从图4可以看出:抽油机上冲程运行时间越长,平衡重调整量越大;下冲程运行时间越长,平衡重调整量越小。由于简化模型认为上下冲程运行时间相等,因此当上下冲程运行时间接近7.5 s时,新模型计算结果接近简化模型。
4 结 论1) 根据抽油机结构及运动规律,以及抽油机上下冲程运行时间与曲柄转角的关系,得出了抽油机上下冲程运行时间可能不相等的结论,并在此基础上建立了上下冲程电机平均输出功率计算公式。
2) 考虑抽油机上下冲程运行时间不相等的情况,以假设上下冲程电机所做功相等为准则,建立了利用平均功率计算游梁平衡重调整量的新模型。
3) 计算表明,与假设上下冲程运行时间相等的简化模型相比,应用考虑上下冲程运行时间不相等的新模型调整平衡重后,抽油机平衡状况更佳。
| [1] |
郝世彦,樊平天,张新涛.油井远程监控与计量技术在延长油田的应用[J].石油钻探技术,2010,38(2):84-87. HAO Shiyan,FAN Pingtian,ZHANG Xintao.Application of remote well monitoring and measurement technique in Yanchang Oilfield[J].Petroleum Drilling Techniques,2010,38(2):84-87. |
| [2] |
吴晓东,岑学齐,安永生,等.基于平均功率法的游梁式抽油机功率曲线法调平衡模型[J].石油钻采工艺,2015,37(2):63-66. WU Xiaodong,CEN Xueqi,AN Yongsheng,et al.Balance adjusting model by power curve of beam-pumping unit based on average power method[J].Oil Drilling & Production Technology,2015,37(2):63-66. |
| [3] |
张琪.采油工程原理与设计[M].东营:石油大学出版社,2000:100,117-130. ZHANG Qi.Theory and design of oil production engineering[M].Dongying:Petroleum University Press,2000:100,117-130. |
| [4] | Q/SY1233-2009游梁式抽油机平衡及操作规范[S]. Q/SY1233-2009 The operation and balance for beam-pumping units[S]. |
| [5] |
韩冬.抽油机极位夹角、旋向与能耗关系研究[J].石油石化节能,2012,2(3):9-10. HAN Dong.Study on the relationship between limit position angle of pumping unit,direction of rotation and energy consumption[J].Energy Conservation in Petroleum & Petrochemical Industry,2012,2(3):9-10. |
| [6] |
黄伟,甘庆明,张磊,等.基于电参数的螺杆泵杆管偏磨预判研究[J].石油钻探技术,2014,42(4):102-106. HUANG Wei,GAN Qingming,ZHANG Lei,et al.Prejudgment of eccentric wear of screw pump rod based on electrical parameters[J].Petroleum Drilling Techniques,2014,42(4):102-106. |
| [7] |
王怀奥,周欣.急回四杆机构综合综述[J].佳木斯大学学报(自然科学版),2005,23(2):297-300. WANG Huaiao,ZHOU Xin.An overview of synthesis on quick-return four-bar machinery[J].Journal of Jiamusi University(Natural Science Edition),2005,23(2):297-300. |
| [8] |
中国石油天然气总公司劳资局.采油工程[M].2版.北京:石油工业出版社,1996:99-103. The Labor Bureau of China National Petroleum Corporation.Oil extraction engineering[M].2nd ed.Beijing:Petroleum Industry Press,1996:99-103. |
| [9] |
孙延安.游梁式抽油机合理平衡判别方法研究[J].石油机械,2014,42(3):72-75. SUN Yan'an.Research on the reasonable balance discrimination method for beam pumping unit[J].China Petroleum Machinery,2014,42(3):72-75. |
| [10] |
张明亮,雷长森,田小兰,等.抽油机曲柄平衡的调整计算及效果预测[J].石油机械,2001,29(5):36-39. ZHANG Mingliang,LEI Changsen,TIAN Xiaolan,et al.Balance adjustment and calculation of pumping unit with crank[J].China Petroleum Machinery,2001,29(5):36-39. |
| [11] |
顾永强,周静,李玲,等.改进抽油机井"功率平衡"测试实现节能降耗[J].油气田环境保护,2009,19(4):45-47. GU Yongqiang,ZHOU Jing,LI Ling,et al.Energy saving test on "power balance" of improved pumping well[J].Environmental Protection of Oil & Gas Fields,2009,19(4):45-47. |
| [12] |
周继德.用功率曲线法判断和调整抽油机的平衡[J].石油矿场机械,1988,12(5):7-9. ZHOU Jide.Adjustment of counter balance of pumping unit by using electric power characteristics[J].Oil Field Equipment,1988,12(5):7-9. |
| [13] |
侯立功,刘超,陶明.双驴头抽油机平衡调整的简易方法[J].油气田地面工程,2008,27(7):52-53. HOU Ligong,LIU Chao,TAO Ming.A simple method of balance adjustment of dual horsehead pumping unit[J].Oil-Gasfield Surface Engineering,2008,27(7):52-53. |
| [14] |
刘巨保,张宏岩.基于抽油机动力学仿真的转矩法调平衡[J].大庆石油学院学报,2006,30(6):53-56. LIU Jubao,ZHANG Hongyan.Torque method for adjusting balance based on dynamic simulation of the pumping unit[J].Journal of Daqing Petroleum Institute,2006,30(6):53-56. |
| [15] |
尹强,罗炼刚,陈广晔,等.抽油机井功率平衡技术探讨[J].油气田地面工程,2009,28(5):52-53. YIN Qiang,LUO Liangang,CHEN Guangye,et al.Discussion on power balance technology for pumping well[J].Oil-Gasfield Surface Engineering,2009,28(5):52-53. |
| [16] |
张琪,吴晓东.抽油井计算机诊断技术及其应用[J].华东石油学院学报,1984,8(2):144-159. ZHANG Qi,WU Xiaodong.Pumping well diagnostic technique and its application[J].Journal of East China Petroleum Institute,1984,8(2):144-159. |
| [17] |
张琪,赵长禄.抽油机扭矩曲线的应用[J].石油矿场机械,1984,13(1):22-28,63. ZHANG Qi,ZHAO Changlu.Application of torque curves of the pumping unit[J].Oil Field Equipment,1984,13(1):22-28,63. |
| [18] |
刘益江,张学臣,李伟,等.抽油井示功图综合解释[J].油气田地面工程,2007,26(8):3-5. LIU Yijiang,ZHANG Xuechen,LI Wei,et al.The comprehensive interpretation technology for the diagnostics of rod pumping systems[J].Oil-Gasfield Surface Engineering,2007,26(8):3-5. |
| [19] |
梅启太,徐文倬.用示功图扭矩分析法确定抽油机平衡块位置[J].油气田地面工程,1991,10(3):8-10. MEI Qitai,XU Wenzhuo.Adjustment of counter balance of pumping unit by using torque curves of the pumping unit[J].Oil-Gasfield Surface Engineering,1991,10(3):8-10. |
| [20] |
史鹏飞,崔丽岩,张彦彬,等.功率法调整抽油机平衡方法初探[J].油气井测试,2003,12(6):51-53,56. SHI Pengfei,CUI Liyan,ZHANG Yanbin,et al.An brief of balance way for adjusting pumping unit by power method[J].Well Testing,2003,12(6):51-53,56. |
| [21] |
吴晓东,张琪.抽油机可调相位角平衡装置的设计[J].石油大学学报(自然科学版),1991,15(4):21-26. WU Xiaodong,ZHANG Qi.Design of a balance device with adjustable phase angle for beam unit[J].Journal of the University of Petroleum,China(Edition of Natural Science),1991,15(4):21-26. |


