2. 中国石油塔里木油田分公司, 新疆库尔勒 841000
2. PetroChina Tarim Oilfield Company, Korla, Xinjiang, 841000, China
在精细控压钻井的正常钻进中,井底压力为钻井液静液柱压力、循环压耗和井口回压之和;起下钻过程中,井底压力为钻井液静液柱压力和井口回压之和,则此时井口回压为循环期间井口回压及环空压耗之和[1, 2, 3, 4]。因下部钻具组合无法通过旋转控制头,控压起钻中途需转为常规起钻,向井内注入重浆施加附加压力以维持井底压力恒定[5, 6]。重浆沿环空上返期间,井口回压降低。然而,当钻具内的压水眼重浆进入井眼环空时将对重浆注入期间的井口回压产生影响,若注入重浆过程中控制不当而使井底压力产生较大波动,则易引起井下故障[7]。目前国内关于该方面的研究基本还处于空白,现场控压起钻过程中将该部分压水眼重浆忽略不计,因而易引起井底压力较大波动,尤其对于我国西部深层碳酸盐岩地层(如塔中地区窄密度窗口地层)甚至可能诱发井下故障,存在一定的井控风险[8, 9]。为此,笔者分析了精细控压钻井注入重浆过程中控制井口压力时存在的问题,将压水眼重浆与重浆帽组合进行设计;以塔中地区某井为例进行了重浆帽设计,并对简易重浆帽和组合重浆帽进行了差异化分析,表明新技术在保证井筒压力稳定方面效果良好。
1 简易重浆帽及压水眼重浆参数计算 1.1 简易重浆帽参数的计算控压起钻期间,重浆帽在井底产生附加压力,该压力的大小可根据控压钻井水力学软件模拟得出,由此可知环空中所需重浆量及其高度的计算式为:

控压起钻前需向井内注入一定量的高密度钻井液,以防止起钻时原钻井液从钻具内喷出,该部分钻井液称之为压水眼重浆。根据控压钻井水力学模型的模拟原理,可知起钻时井口压力、井下内防喷工具开启压力与安全附加压力之和即为压水眼重浆需要产生的压力,则:

开启钻井泵后,将井口回压降至p1。重浆进入环空后井口回压均匀降低。设t2为开启钻井泵至重浆到达井口的时间,则:

根据以上计算式可计算出不同时间下的井口回压,绘制成井口回压变化曲线(见图1,t2=t1+t′2)。
|
| 图 1 简易重浆帽井口压力变化曲线 Fig.1 Wellhead pressure of simple heavy mud cap |
压水眼重浆密度与重浆帽钻井液的密度不同,针对不同特性的地层,钻具内需注入的重浆量也不同。将该部分重浆与重浆帽进行组合设计,以钻柱内上部注满重浆帽、压水眼重浆到达钻头、压水眼重浆开始进入环空、压水眼重浆全部进入环空、重浆帽开始沿环空上返等为井口回压控制的5个阶段,形成压力控制“五段论”设计方法。
当起钻至设计的钻头深度时,钻具内部的钻井液分布为:压水眼重浆距井口一定高度,重浆底部为原钻井液(见图2)。
|
| 图 2 开启钻井泵前井筒钻井液分布 Fig.2 Drilling mud distribution of the wellbore before starting mud pump |
开启钻井泵注重浆时井口压力保持不变,则:

当出口开始有钻井液返出时,说明钻具内部已经注满钻井液,井筒内已建立起循环,井口回压降低,降至p1时其降低值为环空摩阻的大小,则:

经t′4后,压水眼重浆开始沿环空上返(见图3),其在环空也产生附加压力,当该部分重浆完全进入环空时,井口压力为:

|
| 图 3 压水眼重浆沿环空上返期间井筒钻井液分布 Fig.3 Drilling mud distribution of the wellbore when heavy mud covering the bit nozzle rising up |
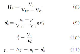
经t′5后,压水眼重浆全部进入环空,此时重浆开始上返(见图4),则重浆帽需要在环空附加的压力、上返高度及所需时间都可确定:


|
| 图 4 重浆帽沿环空上返期间井筒钻井液分布 Fig.4 Drilling mud distribution of the wellbore when heavy mud rising up |
当出口钻井液密度增大时,说明压水眼重浆已经到达井口,此时井口压力降为0。至此,完成完整的重浆注入过程,井口压力变化如图5所示。
|
| 图 5 组合重浆帽井口压力变化曲线 Fig.5 Wellhead pressure of combination heavy mud cap |
以塔中地区某井控压起钻的第五趟钻为例,以压水眼重浆与重浆帽组合作为重浆注入为基本原则,以重浆帽及压水眼重浆在井筒不同位置的压力控制作为节点,将井口压力分为5个阶段进行实时分析与控制,并对组合重浆帽与简易重浆帽进行差异分析,从而对重浆帽及压力控制“五段论”的现场实用性进行了验证。
3.1 井身结构例井的井深为7 768.00 m,造斜点井深为5 945.00 m,井身结构如图6所示。
|
| 图 6 例井的井身结构 Fig.6 Casing Program of the example |
原钻井液密度为1.16 kg/L,压水眼重浆密度为1.45 kg/L,重浆帽钻井液的密度为1.30 kg/L。控压起钻期间的补偿压力为3.5 MPa,环空摩阻为2.0 MPa,钻进期间的井口回压为1.5 MPa,安全压力附加值为0.5 MPa。起钻前注入压水眼重浆为6.0 m3,泵排量为12.0 L/s,单位长度技术套管内容积为24.90 L/m,单位长度钻杆开排钻井液体积为2.63 L/m,单位长度钻杆内容积为3.87 L/m,单位长度钻杆闭排钻井液体积为6.50 L/m。
3.2 “五段论”回压控制体系设计将各压力流量参数代入式(8)—式(10),可得H3=1 550.40 m,p′3=0.93 MPa,t′5=8.3 min,H=2 111.50 m。根据U形管原理,在起钻至预定井深时钻柱内和环空中压力平稳,求得H2=206.00 m,则可判断钻具内自上而下的钻井液分布为:空气柱高度355.00 m,压水眼重浆高度1 550.40 m,重浆底部与钻头之间为原钻井液。
将上述各数据代入式(4)、(5)和(12),可得t3=1.9 min,t′4=1.1 min,t′6=45.6 min;测得pf=0.90 MPa,p1=3.10 MPa,p3=2.07 MPa。
精细控压钻井系统能够同时监测压力和流量等参数,对井下溢流、漏失进行动态监控,重浆注入期间参数控制情况如图7所示。
|
| 图 7 压力流量变化曲线 Fig.7 Wellhead pressure and flow rate |
若不考虑压水眼重浆的影响,可将简易重浆帽高度设计为2 912.50 m,其与组合重浆帽高度设计对比情况如图8所示。
|
| 图 8 重浆帽高度对比 Fig.8 The difference of the heavy mud cap height |
由图8可知:1)在不考虑压水眼重浆的情况下进行简易重浆帽设计,由于压水眼重浆的影响,将对井底施加约1.0 MPa的压力,极易在压力敏感地层引起井漏等复杂情况;2)将压水眼重浆纳入重浆帽设计后,可减小重浆帽高度,降低作业成本,提高生产时效,同时避免压水眼重浆进入循环罐导致混浆。
4 现场应用窄密度窗口精细控压钻井重浆帽优化技术自2012年开始在塔里木油田塔中地区碳酸盐岩地层进行了现场应用,迄今已经应用13口井。该技术针对塔中地区特殊的地质条件和苛刻的控压钻井施工要求,实现了井筒压力波动幅度小于±0.35 MPa,起下钻重浆使用量平均节约21.5%,注替作业时间平均缩短17.7%,单井复杂时率显著降低(常规控压单井复杂时率为6.04%,组合重浆帽技术单井复杂时率为2.79%),明显减少了同构造井的漏失量,缩短了故障时间和钻井周期,提高了机械钻速,延长了水平段,降低了钻井成本,取得了显著的经济效益。
以TZ862H井6 146.00~8 008.00 m井段控压钻井为例说明其应用情况。该井位于塔中Ⅰ号坡折带,缝隙发育,为典型窄密度窗口地层,易漏易喷,井口控压变化最小0.3 MPa就会造成井底压力波动和液面变化。同时,由于井段超长,钻井液性能维护困难,尤其在作业后期气泡极多,起下钻期间钻井液罐液面变化大,直接影响溢流和井漏监测。根据该技术的设计原则,尽量在缝洞系统走低限,控压起钻期间对2种密度的重浆进行组合,以压水眼重浆返出井口为压力控制节点,分5段进行压力控制设计,并以此调整井口实时压力控制策略,观察井底的压力、出入口流量变化及钻井液溢漏情况,顺利通过多个薄弱层,保证既不发生严重溢流,也能及时控制因井底压力持续升高而可能诱发的井漏,实现小溢流量状况下的安全作业,规避了重浆压井导致井漏的风险,成功钻穿长水平段多套缝洞单元,全程“零漏失”、“零故障”,完钻井深8 008.00 m,垂深6 327.60 m,水平位移1 997.00 m,水平段长1 551.87 m,施工取得圆满成功。
5 结论1) 利用组合重浆帽技术能够成功实现水平钻穿碳酸盐岩储层多套缝洞单元的目的,有利于提高我国西部深层碳酸盐岩地层水平井的钻井速度,减少井下故障,提升井筒供液能力。
2) 合理的井口压力分段控制策略是实现组合重浆帽设计的关键。只有依据控压钻井水力学模拟软件对重浆帽及压水眼重浆在钻柱及环空内的运移速度做出实时准确的模拟,并结合现场经验及理论计算进行修正,才能保证井底压力恒定。
3) 现场施工过程中,为提高安全压力附加值,常注入过量压水眼重浆。当起钻至设计重浆帽深度时,会有部分压水眼重浆进入井筒,因此采用组合重浆帽设计时,如何判断钻具内的压水眼重浆位置及准确计算剩余重浆体积,是以后的主要研究方向。
| [1] |
彭明佳,刘伟,王瑛,等.精细控压钻井重浆帽设计及压力控制方法[J].石油钻采工艺,2015,37(4):16-19. Peng Mingjia,Liu Wei,Wang Ying,et al.Design of heavy grout and pressure control method for fine pressure-control drilling[J].Oil Drilling & Production Technology,2015,37(4):16-19. |
| [2] |
杨雄文,周英操,方世良,等.控压钻井分级智能控制系统设计与室内试验[J].石油钻探技术,2011,39(4):13-18. Yang Xiongwen,Zhou Yingcao,Fang Shiliang,et al.Design and laboratory test of hierarchical intelligent control system for managed pressure drilling[J].Petroleum Drilling Techniques,2011,39(4):13-18. |
| [3] |
姜智博,周英操,刘伟,等.精细控压钻井井底压力自动控制技术初探[J].天然气工业,2012,32(7):48-51. Jiang Zhibo,Zhou Yingcao,Liu Wei,et al.Automatic control of bottomhole pressure during precisely managed pressure drilling[J].Natural Gas Industry,2012,32(7):48-51. |
| [4] |
周英操,杨雄文,方世良,等.PCDS-I精细控压钻井系统研制与现场试验[J].石油钻探技术,2011,39(4):7-12. Zhou Yingcao,Yang Xiongwen,Fang Shiliang,et al.Development and field test of PCDS-I precise managed pressure drilling system[J].Petroleum Drilling Techniques,2011,39(4):7-12. |
| [5] |
周英操,杨雄文,方世良,等.窄窗口钻井难点分析与技术对策[J].石油机械,2010,38(4):1-7. Zhou Yingcao,Yang Xiongwen,Fang Shiliang,et al.Analysis and technical measures of drilling difficulties with narrow mud windows[J].China Petroleum Machinery,2010,38(4):1-7. |
| [6] |
李勇,黄敏,荆华,等.川西地区德阳1井气层段的控压钻井现场试验[J].天然气工业,2012,32(7):55-58. Li Yong,Huang Min,Jing Hua,et al.Field tests of managed pressure drilling at the gas zone in Well Deyang 1,Western Sichuan Basin[J].Natural Gas Industry,2012,32(7):55-58. |
| [7] |
周英操,崔猛,查永进.控压钻井技术探讨与展望[J].石油钻探技术,2008,36(4):1-4. Zhou Yingcao,Cui Meng,Zha Yongjin.Discussion and prospect of managed pressure drilling technology[J].Petroleum Drilling Techniques,2008,36(4):1-4. |
| [8] |
姜智博,周英操,王倩,等.实现窄密度窗口安全钻井的控压钻井系统工程[J].天然气工业,2011,31(8):76-79. Jiang Zhibo,Zhou Yingcao,Wang Qian,et al.Managed pressure drilling system used in narrow density window drilling scenarios[J].Natural Gas Industry,2011,31(8):76-79. |
| [9] |
孔祥伟,林元华,邱伊婕.微流量控压钻井中节流阀动作对环空压力的影响[J].石油钻探技术,2014,42(3):22-26. Kong Xiangwei,Lin Yuanhua,Qiu Yijie.Effect of choke valve action on annular pressure with micro-flux control in mpd drilling[J].Petroleum Drilling Techniques,2014,42(3):22-26. |


