阶梯水平井简称阶梯井,是由具有一定高程差的2个或2个以上水平段和连接段组成的单井筒井型[1, 2, 3]。目前,国内有关阶梯井的产能计算模型不多,以下几个具有一定代表性:黄世军等[4]针对有夹层的薄互层油藏提出了油藏-井筒耦合模型,首次对阶梯井的产能进行了半解析计算,得到了阶梯井的流率和流压分布剖面;陆程等[5]针对双台阶水平井建立了简单耦合模型,通过分析影响双台阶水平井产量的造斜角和造斜段长度等因素,给出了判断水平井是否发生倒灌回流现象的临界造斜角和临界造斜段长度,以及发生倒灌回流现象后地面井口处是否有产量的极限造斜角和极限造斜段长度;任岚等[6]建立了穿过3个独立断块油层的油藏-井筒耦合模型,认为物性较好的储层靠近阶梯井跟端、物性较差的储层靠近趾端的情况下产能最大。但以上模型考虑的因素不够完善,只能针对特定生产段的阶梯井,存在一定局限性,且实际运算中结果受离散化程度影响较大,故各油田常将阶梯井看作多个水平井,用Joshi公式[7]进行产能预测。不过Joshi公式也有其不足,即在多层合采阶梯井条件下采用该公式分段求解,会忽略各微元段之间的势干扰,且仅能得到全井产量,无法得到微观井筒入流规律和流压剖面。为了能够更加准确地针对任意层合采的阶梯井进行产能计算,笔者基于流体力学、工程流体力学、油藏工程和数值分析有关理论,建立了阶梯井与薄互层油藏耦合的多层合采阶梯井产能计算模型。
1 模型的建立以3层合采阶梯井为例进行说明。
1.1 假设条件模型针对薄互层油藏建立,因此作如下假设:1)油层较薄,水平段在垂向上位于油层中部;2)仅水平段产液,连接段对产能无贡献。
1.2 离散化处理将整个井筒水平段进行离散化处理,形成一系列长度为Lws的微元段,由此衍生出参数Nsegi和Nst,其表达式分别为:

式中:Nsegi为第i个水平段的微元段个数;lnt()为截断函数;Lhi为第i个水平段的井筒长度,m;Lws为微元段长度,m;Nst为整个阶梯井的微元段个数;Nr为水平段的个数,即油层个数。
离散处理后,为方便表示,用i或a定位水平段,用j或b定位水平段上的某个微元段,下文中出现的下标i,j则表示第i个水平段上的第j个微元段,简称i,j微元段。
1.3 油藏渗流模型油藏渗流过程可分为3个阶段:
1) 第1阶段,流体从油藏边界流向近井地带(理想渗流压降)[8, 9],表达式为:

式中:Δpri,j(x,y,z)为流体从油藏边界到近井地带的i,j微元段的渗流压降,MPa;μoi为第i个油层的原油黏度,mPa·s;qi,j为i,j处的径向流量,m3/s;
,Khi和Kvi分别为第i层的水平渗透率和垂直渗透率,D;NM为镜像反映次数;ri,j,k为i,j微元段的第k次镜像反映到i,j微元段的距离,m。
2) 第2阶段,流体在近井地带流经钻完井污染带(表皮附加压降),表达式为:

其中

式中:Δpsi,j为流体流经近井地带到钻完井污染带的i,j微元段的表皮压降,MPa;hi为第i个油层的厚度,m;SDi,j为i,j微元段处的表皮系数。
表皮模型采用圆锥剖面模型[10]求解,需要给出水平段跟端、趾端的表皮。
3) 第3阶段,流体通过井壁和完井管柱之间的环空流入井筒内部压降(完井管柱压降)[10, 11],其表达式为:

式中:Δpani,j为流体流经完井管柱i,j微元段的附加压降,MPa;Boi为第i个油层中原油的体积系数;ρoi为第i个油层中原油的密度,kg/m3;Kani为第i个水平段环空填充砂的渗透率,D;Kgi为第i个水平段砾石充填层的渗透率,D;中间参数E,Tgi和Asi的计算方法见文献[11, 12]。
这3个阶段都伴随有各自的压降,串联后形成了油藏渗流总压降,具体表达式为:

式中:Δpfti,j为油藏渗流总压降,MPa。
1.4 井筒管流模型利用井筒管流模型模拟单相原油在井筒中的一维变质量流动,模型求解的本质是管流压降,包括沿程摩阻压降、管流加速压降、壁面径向流动干扰压降以及高程差引起的重力压降。
1.4.1 沿程摩阻压降i,j微元段内管流流量的表达式为:

式中:qwi,j为i,j微元段内的管流流量,m3/s。
对应管流流速的表达式为:

式中:vwi,j为i,j微元段内的流体流速,m/s;Di为对应完井方式下原油实际流经截面的半径,m。
通过流速可以计算出每个微元段的雷诺数Rei,j,其表达式为:

其中


式中:ρowi,j为i,j微元段内流体的密度,kg/m3;μowi,j为i,j微元段内流体的黏度,mPa·s。
由此可计算出i,j微元段内部管流沿程的摩阻压降,其表达式为:

式中:Δpfi,j为i,j微元段内管流沿程摩阻压降,MPa;λfi,j为微元段沿程水力摩阻系数[13];Cwfi,j为壁面流入矫正系数,计算方法见文献[14, 15, 16]。
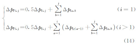
据此可计算出当前微元段到整个阶梯井跟端的摩阻压降,表达式为:

其中

式中:ΔpFi,j为当前微元段到整个阶梯井跟端的摩阻压降,MPa;Δpfca为第a个连接段产生的摩阻压降,MPa;Lca为第a个连接段的长度,m;Da为第a个连接段的内径,m。
1.4.2 加速压降任意水平微元段流体从当前位置到1号水平段跟端产生的加速压降为:

式中:Δpacci,j为任意水平微元段流体从当前位置到1号水平段跟端产生的加速压降,MPa。
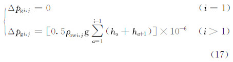
1.4.3 重力压降任意水平微元段流体从当前位置到1号水平段跟端产生的重力压降为:

式中:Δpgi,j为任意水平微元段流体从当前位置到1号水平段跟端产生的重力压降,MPa;ha,ha+1为第a个和第a+1个储层的厚度,m。
由此得到井筒管流总压降,具体表达式为:

式中:Δpwbi,j为井筒管流总压降,MPa。
1.5 稳态耦合模型油藏渗流模型和井筒管流模型不是两个独立的系统,在水平微元段中心处,两个系统的压力值相等[17]。这就是整个耦合模型的稳态耦合条件,由此可建立线性方程组,具体表达式为:

式中:qst为全井段产量,m3/s,pei为第i个油层压力,MPa。
综上所述,建立的3层合采阶梯井产能计算模型如图1所示。
|
| 图1 三层合采阶梯井产能计算模型示意 Fig.1 Diagram of the productivity forecast model of stepped horizontal wells’ commingled production in 3 layers |
欲求解式(19),需给定pwf或qst,即模型求解有2种模式:给定1号水平段跟端流压pwf模式和给定全井产量qst模式。笔者以给定pwf模式进行求解说明。
2.1 具备唯一解条件验证式(19)可以表示为:

式中:各下标均表示矩阵维数。
A为线性方程组的系数矩阵,可表示为:

式中:最后一列的0表示零向量,其他0表示零矩阵;Ai为第i个地层的系数矩阵(Nsegi×Nsegi)。
Ai的具体表达式为:

式(21)中,φiαβ为第i个地层中第β个微元段在第α个微元段产生的影响系数[7, 8],具体表达式为:

X为方程组的未知数矩阵,具体形式为:

其中

B为方程组的常数矩阵,具体形式为:

其中


给定pwf后,方程组中有qst和qi,j等Nst+1个未知数,方程组中有Nst+1个方程。方程与未知数个数相等,因而方程组具备唯一解的必要条件,但仍需要验证是否存在唯一解。其增广矩阵为:

如有唯一解,则:

式中:r()为矩阵的秩。
2.2 迭代求解使用列主元素消去法处理增广矩阵,来验证方程组具有唯一解,验证成功后可顺势求得阶梯水平井各个微元段的产量qi,j(0)。式(19)中的Δpsi,j、Δpani,j、ΔpFi,j、Δpacci,j和ΔpGi,j是qi,j的函数,迭代过程的首次运算中qi,j是缺失的,需对这5项的初值进行假设,均假设为0,即:Δpsi,j(0)=0,Δpani,j(0)=0,ΔpFi,j(0)=0,Δpacci,j(0)=0,Δpgi,j(0)=0。在后续迭代过程中,Δpsi,j(n+1)、Δpani,j(n+1)、ΔpFi,j(n+1)、Δpacci,j(n+1)和Δpgi,j(n+1)将依赖于前次迭代结果qi,j(n)进行计算。
校核结果需满足给定的误差限:

式中:ξ为相对误差限系数。
3 实例计算为更好地验证上述模型,利用某3层薄互层油藏数据进行了实例计算。各项参数见表1、表2。
| 层号 | 油层厚 度/m | 油层压 力/MPa | 水平渗透 率/mD | 垂向渗透 率/mD | 原油密度/ (kg·m-3) | 原油黏度/ (mPa·s) |
| 1 | 11 | 18.0 | 722 | 491 | 880 | 37.62 |
| 2 | 9 | 18.1 | 638 | 477 | 875 | 37.01 |
| 3 | 8 | 18.2 | 715 | 498 | 869 | 33.42 |
| 井段 | 井筒半径/ m | 井筒长度/ m | 井筒垂深/ m | 污染带半径/ m | 污染带渗透率/ mD | |||
| 跟端 | 趾端 | 跟端 | 趾端 | 跟端 | 趾端 | |||
| 1号水平段 | 0.088 90 | 357 | 1 807.0 | 1 807.0 | 0.57 | 0.54 | 136 | 155 |
| 1号连接段 | 0.088 90 | 58 | 1 807.0 | 1 817.0 | ||||
| 2号水平段 | 0.069 85 | 546 | 1 817.0 | 1 817.0 | 0.49 | 0.43 | 227 | 268 |
| 2号连接段 | 0.069 85 | 49 | 1 817.0 | 1 825.5 | ||||
| 3号水平段 | 0.069 85 | 308 | 1 825.5 | 1 825.5 | 0.33 | 0.28 | 470 | 493 |
Lws取5 m,NM取4,ξ取0.5%,给定跟端流压16 MPa,可计算得到流率、流量和流压沿井筒方向的剖面。同时,Joshi公式虽然难以反映井筒入流规律,但具有对水平井全井段产量预测准确度高的特点,因此采用Joshi公式对3个水平段的生产进行了离散化模拟对比。
井筒径向流率分布剖面见图2。
|
| 图2 井筒径向流率分布规律 Fig.2 Radial flow rate distribution profiles |
从图2可以看出,阶梯井径向流率呈现U形分布组合,井筒跟端流率最大,中间段流率最小;而Joshi公式没有考虑井筒微元段之间的干扰,离散处理后得到的流率是均匀分布的。拟合中间段流率,得到高阶偶数次多项式函数,两端值达到中间的3倍。
井筒流量分布剖面见图3。
|
| 图3 井筒流量分布规律 Fig.3 Cumulative flow distribution profiles |
由图3可知,与流率分布相反,越靠近跟端,摩阻造成的流量损失越大。该实例条件下,摩阻造成减产39.11 m3/d。与Joshi公式进行对比,二者所得流量分布规律一致,且全井产量相差仅为1.79%,说明该模型的预测结果是合理的。对全井段进行拟合,认为其流量分布遵循三次多项式规律,即跟端高、趾端低。
井筒流压分布剖面见图4。
|
| 图4 井筒流压分布规律 Fig.4 Flowing pressure distribution profiles |
由图4可知,流压在跟端没有损失,摩阻导致越远离跟端流压损失越多。该实例条件下,摩阻造成趾端损失流压0.68 MPa。由于Joshi公式计算的产量比多层合采阶梯井产能计算模型稍高,故其流压也相对较高,但二者分布规律一致,证明了该模型是合理的。对全井段进行拟合,认为其流压呈抛物线分布,即越靠近跟端流量越大,流压越低且降低趋势逐渐增大,该实例跟端斜率为趾端的21倍,全井有1/2的流压消耗在前1/4井段。
4 结论与建议1) 采用离散化手段建立了多层合采阶梯井产能计算模型,该模型考虑了表皮系数、完井方式、层间原油物性差异等的影响,且能够对任意层合采的阶梯井进行产量计算。
2) 求解多层合采阶梯井产能计算模型得到了阶梯井井筒入流规律,即呈高阶偶次多项式的形态,且每个阶梯中,跟端流率通常达到中间段的3倍,这表明在该类井完井或调剖设计时有必要对井筒进行分段处理。
3) 全井产量计算值与Joshi公式的计算结果相差仅为1.79%,流压剖面与Joshi公式一致,说明了该模型的合理性;流量剖面呈三次多项式分布,流压剖面呈抛物线状分布;由于跟端流体大量汇集,导致大部分流压消耗在靠近跟端的井段,故开发边底水油藏时应预防水体在跟端突破。
| [1] |
冯志明,颉金玲.阶梯水平井钻井技术[J].石油钻采工艺,2000,22(5):22-26. Feng Zhiming,Jie Jinling.Stepped horizontal drilling technology[J].Oil Drilling & Production Technology,2000,22(5): 22-26. |
| [2] |
王爱国,王敏生,牛洪波,等.深部薄油层、双阶梯水平井钻井技术[J].石油钻采工艺,2003, 25(2):5-8. Wang Aiguo,Wang Minsheng,Niu Hongbo,et al.Horizontal drilling technolngy of two-stage in deep thin reservoir[J].Oil Drilling & Production Technology,2003,25(2): 5-8. |
| [3] |
荣宁,吴迪,韩易龙,等.微地震监测水驱前缘技术在哈得双台阶水平井的应用效果评价[J].大庆石油地质与开发,2006,25(2):94-96. Rong Ning,Wu Di,Han Yilong,et al.Application evaluation of microearthquake monitoring waterflood front technique used to double step horizontal wells in Hade Oilfield[J].Petroleum Geology & Oilfield Development in Daqing,2006,25(2): 94-96. |
| [4] |
黄世军,程林松,赵凤兰,等.薄互层油藏中阶梯水平井产能评价模型研究[J].西南石油大学学报,2007,29(3):60-65. Huang Shijun,Cheng Linsong,Zhao Fenglan,et al.The productivity evaluation model of the stepped horizontal well in thin interbeded reservoirs[J].Journal of Southwest Petroleum University,2007,29(3): 60-65. |
| [5] |
陆程,丁一萍,关云东,等.双台阶水平井产能的确定方法[J].油气地质与采收率,2009,16(5):82-85. Lu Cheng,Ding Yiping,Guan Yundong,et al.The study on productivity of stepped horizontal well[J].Petroleum Geology and Recovery Efficiency,2009,16(5): 82-85. |
| [6] |
任岚,赵金洲,胡永全,等.断块油藏中阶梯水平井的渗流特性[J].石油学报,2011,32(1):107-112. Ren Lan,Zhao Jinzhou,Hu Yongquan,et al.Seepage characteristics of stepped horizontal wells in fault-block reservoirs[J].Acta Petrolei Sinica,2011,32(1): 107-112. |
| [7] | Joshi S D.Augmentation of well productivity with slant and horizontal wells (includes associated papers 24547 and 25308)[J].Journal of Petroleum Technology,1988,40(6): 729-739. |
| [8] |
程林松.高等渗流力学[M].北京:石油工业出版社,2011:336-346. Cheng Linsong.Advanced percolation mechanics[M].Beijing: Petroleum Industry Press,2011: 336-346. |
| [9] |
刘想平,郭呈柱,蒋志祥,等.油层中渗流与水平井筒内流动的耦合模型[J].石油学报,1999,20(3):82-86. Liu Xiangping,Guo Chengzhu,Jiang Zhixiang,et al.The model coupling fluid flow in the reservoir with flow in the horizontal wellbore[J].Acta Petrolei Sinica,1999,20(3): 82-86. |
| [10] | Frick T P,Economides M J.State-of-the-art in the matrix stimulation of horizontal wells[J].SPE Advanced Technology Series,1996,4(1): 94-102. |
| [11] |
熊友明,潘迎德.裸眼系列完井方式下水平井产能预测研究[J].西南石油学院学报,1997,19(2):42-46. Xiong Youming,Pan Yingde.Study on productivity prediction of the horizontal wells with open hole series of completion methods [J].Journal of Southwest Petroleum Institute,1997,19(2): 42-46. |
| [12] | Ouyang Liangbiao, Bill Huang W S.A comprehensive evaluation of well-completion impacts on the performance of horizontal and multilateral wells[R].SPE 96530,2005. |
| [13] |
袁恩熙.工程流体力学[M].北京:石油工业出版社,1986:128-131. Yuan Enxi.Engineering fluid mechanics[M].Beijing: Petroleum Industry Press,1986: 128-131. |
| [14] | Ouyang Liangbiao,Arbabi Sepehr,Aziz Khalid.A single-phase wellbore-flow model for horizontal,vertical,and slanted wells[R].SPE 36608,1998. |
| [15] | Ouyang Liangbiao,Aziz Khalid.A simplified approach to couple wellbore flow and reservoir inflow for arbitrary well configurations[R].SPE 48936,1998. |
| [16] |
曾祥林,林玲,杜志敏,等.考虑井壁径向流入的大位移井井筒压降计算[J].西南石油学院学报,2002,24(6):40-43. Zeng Xianglin,Lin Ling,Du Zhimin,et al.Wellbore pressure drop calculation considering the radial inflow through wall in the extended reach well[J].Journal of Southwest Petroleum Institute,2002,24(6):40-43. |
| [17] |
耿正玲,崔传智,杨赤宸,等.各向异性油藏油水两相流水平井产能计算[J].石油天然气学报,2012,34(12):119-122,156. Geng Zhengling,Cui Chuanzhi,Yang Chichen,et al.Productivity calculation of horizontal well in two phase anisotropy reservoirs[J].Journal of Oil and Gas Technology,2012,34(12): 119-122,156. |








