2. 海相储层演化与油气富集机理教育部重点实验室(中国地质大学(北京)), 北京 100083;
3. 中国石油勘探开发研究院, 北京 100083
2. Key Laboratory for Marine Reservoir Evolution and Hydrocarbon Abundance Mechanism, Ministry of Education, China University of Geosciences(Beijing), Beijing, 100083, China;
3. PetroChina Research Institute of Petroleum Exploration & Development, Beijing, 100083, China
我国拥有丰富的致密砂岩气资源,其中鄂尔多斯盆地和四川盆地的技术可采资源量较大[1]。鄂尔多斯盆地海陆过渡相致密砂岩气储层油气勘探实践表明,致密砂岩气藏虽然分布面积广,但烃类聚集程度极为不均[2],造成烃类富集出现差异的主导因素为裂缝发育程度[3]。在裂缝发育区的气井,采取一定压裂增产措施之后通常可获得高产[3, 4, 5, 6]。因此,对致密碎屑岩储层裂缝发育层段及发育区准确预测,会直接影响油气勘探有利区的划定及后期储层改造措施的有效制定[3, 4]。
利用测井方法识别单井裂缝发育段可以为压裂选层提供指导性建议[7, 8, 9],并且该类方法的识别精度要高于地震方法[10, 11, 12]。测井识别地层裂缝的方法包括常规测井(如声波、中子、密度及电阻率等)、特殊测井(如FMI[13, 14])及数值转换方法(如神经网络、概率判别等[15])等,针对不同地区储层,不同方法的应用效果具有一定差异。为此,笔者以沁南樊庄区块北部的固县井区山西组海陆过渡相碎屑岩地层为例,提出采用基于阵列声波测井的裂缝识别方法,并与其他常规裂缝识别方法进行了对比。
1 山西组碎屑岩地层裂缝特征沁南樊庄区块北部的固县井区,目前以开采山西组煤层气为主[16, 17],地层自下而上包括奥陶系、石炭系(本溪组及太原组)、二叠系(山西组、下石盒子组及上石盒子组)、三叠系及第四系。其中,山西组地层埋深300~800 m,岩性以细粒砂岩、粉砂岩、泥岩互层为主,含煤4~5层。
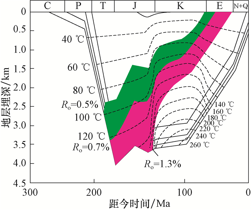
山西组地层属海陆过渡相沉积,经历了多期构造运动[18],区内北东及北西向褶曲分别与燕山期北西向挤压及喜山期北东向挤压相关。沁南晋试1井地层埋藏史(见图1)[19]表明,在三叠纪末期,地层埋深达到最大,镜质体反射率Ro达到1.3%,深埋藏强烈压实作用是导致地层岩石致密化的重要原因。同时,研究区地层发育叠合不整合面,多期次构造运动、构造叠加、强烈压实作用及复杂成岩作用等因素共同作用于山西组地层,导致裂缝发育特征具有复杂性和特殊性。
|
| 图1 晋试1井地层埋藏史及热史 Fig.1 Burial and thermal history of Well Jinshi 1 |
对研究区内11口取心井山西组碎屑岩地层进行裂缝观察统计发现,地层中裂缝类型以构造裂缝为主,同时发育多种非构造裂缝。构造裂缝包括张性裂缝、剪切裂缝及挤压裂缝,这些裂缝往往发生了一定程度的石英及方解石充填;非构造裂缝包括层间页理缝、溶蚀缝、成岩收缩缝及滑脱缝,其中滑脱缝多见于泥岩[20]。此外,碎屑岩地层中可见大量炭质条带,多呈细(或粗)条带状、断续、切割条纹、网状及斑点状分布,常具有一定组系,多为近水平或低角度产状。
研究区3口井山西组碎屑岩地层FMI成像测井统计获得的地层条件下的裂缝倾角及充填特征结果如图2所示。
|
| 图2 山西组碎屑岩地层裂缝倾角及充填程度统计结果 Fig.2 Statistics of fractures dip angle and filling degree of Shanxi Formation clastic rocks |
从图2可以看出,研究区目的层中以小于60°的中-低角度缝为主;地层条件下裂缝以低阻未充填及半充填裂缝为主,这些裂缝均为有效裂缝,可以为油气的储集和运移提供场所或通道[21];地层中同时发育少量高阻全充填缝。
2 基于阵列声波测井的裂缝发育段识别方法 2.1 利用Gassmann方程计算相关参数利用Gassmann方程[22]可以对地层条件下的岩石体积模量和剪切模量进行计算,进而根据岩石体积模量和剪切模量获得岩石纵波、横波速度。上述4参数可表示为:

式中:Ks和μs分别为地层条件下的岩石体积模量和剪切模量,GPa;Kd和μd分别为干岩石骨架的体积模量和剪切模量,GPa;Ko为岩石基质矿物体积模量,GPa;Kf为岩石中所饱和流体的体积模量,GPa;μd为岩石干岩石骨架剪切模量,GPa;vp和vs分别为纵波速度和横波速度,km/s;φ为岩石孔隙度;ρs为地层条件下的岩石密度,g/cm3。
2.2 利用自适应方法提取岩石基质矿物及骨架模量自适应方法的思路为:在合理取值区间内对不同岩性岩石的基质矿物及骨架模量进行赋值,利用Gassmann方程[22]对反算的地层岩石纵横波速度与阵列声波测井值进行对比。通过反复校验,不断调整各基质矿物及骨架模量参数值至最优,使所反算的纵横波速度预测值与实测值吻合度最高,此时所确定的岩石基质矿物及骨架模量即为最优解。具体步骤详述如下。
首先引入一个参数σd(干岩石泊松比)[23],其取值为0~0.45;同时定义:

将Biot系数β引入到Gassman-Biot-Geertsma方程[23]中,可得到有关Biot系数的一元二次方程:

其中,中间变量M可表示为:

Biot系数β可根据阵列声波测井数据用式(8)进行计算和解释[24]。对于山西组碎屑岩地层,ρma取2.65 g/cm3,Δtmac取182.09 μs/m,Δtmas取288.71 μs/m。β可表示为:

式中:ρ为岩石密度,g/cm3;ρma为岩石骨架密度,g/cm3;Δtc为岩石纵波时差,μs/m;Δts为岩石横波时差,μs/m;Δtmac为岩石骨架纵波时差,μs/m;Δtmas为岩石骨架横波时差,μs/m。
通过在合理取值区间内不断调整参数σd及Ko,利用式(6)及阵列声波测井资料对干岩石骨架体积模量进行求解,将求算结果代入式(1),然后利用式(3)对地层岩石纵波速度进行解释。将地层岩石纵波速度解释结果与阵列声波测井实测值进行对比,两者差值最小时所确定的σd及Ko值即认为是目标函数的最优解。由于μs=μd,可根据式(5)求取μs,进而求得地层岩石基质矿物剪切模量,其表达式为[23]:

式中:μo为地层岩石基质矿物的剪切模量,GPa。
利用自适应方法提取岩石基质矿物及骨架模量后,将地层岩石纵波、横波速度预测值与阵列声波测井值进行对比,当两者很吻合时,即认为所定义各参数均为最优解。
2.3 自适应方法提取结果及验证研究区HF-A井(垂直井)钻穿山西组地层,解释层段为山西组3号煤层顶部的海陆过渡相碎屑岩地层(491~514 m井段),主要为细粒砂岩、粉砂岩及泥岩互层。含气性测井显示,该地区山西组地层(主要是致密砂岩段)气测异常普遍,好的气测显示往往与裂缝发育程度较高相关。解释井段具有可靠的常规测井、阵列声波测井及成像测井资料。
利用上述自适应方法提取了山西组碎屑岩地层岩石各模量,利用式(3)和式(4)解释的岩石纵横波速度与阵列声波测井值间关系见图3。从图3可以看出,地层岩石纵波、横波速度预测值与实测值很吻合,表明所提取的地层各模量值可靠。
|
| 图3 地层岩石纵波和横波速度预测值与实测值间关系 Fig.3 The relationship between predicted and measured compression and shear wave velocities |
所提取的地层岩石各模量包括Ko,Kd,Ks,μs及μo(见图4)。从图4可以看出,对于该海陆过渡相碎屑岩地层,Ko>Ks>Kd,其中Ko分布在13~58 GPa;Ks和Kd略小于Ko;μo分布在5~18 GPa,μs略小于μo。
|
| 图4 地层各模量参数随埋深的分布 Fig.4 The distribution of each formation modulus parameter at different burial depths |
为进一步说明所提取碎屑岩地层各模量的可靠性,将所提取的Ko及μo值与通过矿物组分法[25]大致估算的Ko及μo值进行对比。矿物组分法认为不同岩性岩石的Ko及μo可以通过对矿物组分含量及各单矿物组分的Ko及μo值进行大致估算。由于Ko和μo的估算方法类似,此处仅列出Ko的估算方程[25]:

式中:N为岩石中基质矿物的种类;Ki为第i种基质矿物的体积模量,GPa;fi为第i种矿物的体积分数,%。
从式(10)可以看出,岩石基质矿物模量与单种矿物模量值、所含矿物种类及矿物体积分数有关。研究区海陆过渡相碎屑岩地层中的致密砂岩以石英为主,此外还含有部分长石(钾长石及斜长石)、方解石、黄铁矿、白云石及黏土;而泥岩则以黏土矿物为主,此外还含有石英、长石、方解石及黄铁矿,各单矿物的Ko及μo值见表1[24]。
| GPa | |||||||||
| 模量 | 石英 | 钾长石 | 斜长石 | 方解石 | 白云石 | 铁白云石 | 菱铁矿 | 黄铁矿 | 黏土矿物 |
| Ko | 38.0 | 45.8 | 75.6 | 77.0 | 95.0 | 95.0 | 124.0 | 138.6 | 23.0 |
| μo | 44.4 | 27.8 | 25.6 | 29.3 | 45.0 | 45.0 | 51.0 | 109.8 | 8.0 |
用矿物组分法分析可知,山西组碎屑岩地层的Ko主要分布在20~55 GPa,而μo则主要分布在8~20 GPa。该估值区间与前述通过自适应方法提取的Ko及μo区间相符,这进一步表明采用自适应方法提取的山西组地层各岩石力学参数可靠。
图5为几组地层模量与波阻抗之间的关系。
|
| 图5 地层模量与波阻抗之间的关系 Fig.5 The relationship between formation modulus and wave impedance |
从图5可以看出,所提取的地层岩石各模量参数之间或模量参数与波阻抗之间均具有非常好的二项式关系,相关系数均非常高。图5(c)中μs与波阻抗之间的转换关系可用于研究区横波时差未知井的相应预测,该方法对地层岩石横波时差预测的相对误差较小(约为3.5%)。分析表明,自适应方法不仅提取了可靠的碎屑岩目地层各模量参数,而且可对目的层岩石横波时差进行高精度预测。
2.4 基于DEM理论模型的裂缝识别方法对目的层岩石基质矿物模量及干岩石骨架模量进行准确提取后,利用DEM(微分等效介质)理论模型对碎屑岩地层不同岩性岩石孔隙纵横比α进行反演[26]。前人定义α为岩石中椭球状孔隙的短轴与长轴之比,其取值为0~1[27]。根据不同的α取值,地层岩石孔隙形态可分为4类[26]:1)α>0.90,球形孔;2)0.10<α<0.90,针形孔;3)0.01<α<0.10,硬币形裂缝;4)α<0.01,无限型狭长裂缝,开度往往较小。很显然,可将α=0.10作为地层岩石中主要发育孔隙或裂缝的分界:当α>0.10时,表示地层中主要发育孔隙;而当α<0.10时,表示地层中发育裂缝,为裂缝性地层。
α的反演依据为,孔裂隙的存在会在岩石弹性波速上产生显著响应,前人对此多有研究[28, 29]。J.G.Berryman等人[30]通过大量试验,最早给出了基于DEM理论的地层岩石体积及剪切模量的耦合常微分表达方程:

式中:y为岩石孔隙度;Ki为孔隙内组分的体积模量,GPa;μi为孔隙内组分的剪切模量,GPa;K*和μ*分别为考虑基质矿物及孔隙组分的岩石等效体积及剪切模量,GPa;P*i和Q*i分别为K*和μ*的激化因子。
通过对式(11)、式(12)进行解耦,可得到干岩石骨架体积模量与剪切模量之比[31]:

式(13)中,a和b均为α的函数,分别为下式的梯度和截距[30, 31]:

采用线性方法对式(14)中P*i-Q*i进行一阶求导,可确定b和a值[25, 27]:

式(15)、式(16)中,P*i-Q*i和(P*i-Q*i)′均为α的函数,可通过A,B,R,θ和g等几个中间过程参数进行表达,具体表达式见文献[26]。首先利用α对a和b进行定量表征,然后根据式(13)对Kd/μd进行测井解释。将所解释的Kd/μd值与阵列声波测井值进行对比,确定满足最小误差前提下的α值,从而完成地层岩石孔隙纵横比反演。
3 裂缝识别结果及对比 3.1 基于阵列声波测井的裂缝发育段识别利用式(13)所反演的HF-A井山西组海陆过渡相碎屑岩地层各类岩石的Kd/μd值及与前述利用自适应方法提取的Kd/μd的对比结果见图6。
|
| 图6 利用式(13)反演的Kd/μd结果与自适应提取法结果对比 Fig.6 Comparison between Kd/μd inverted by formula 13 and the resultsby adaptive extraction method |
从图6可以看出,目的层致密砂岩的Kd/μd相对高一些,往往大于3.0;而泥岩Kd/μd相对低一些,但分布范围比较广,为1.0~3.3。2种方法所得Kd/μd很吻合,分布在中值线上,表明反演的岩石孔隙纵横比α结果可靠。
3.2 其他裂缝识别方法为了考察基于阵列声波测井的裂缝识别方法的效果,将其与测井裂缝参数计算方法、R/S变尺度方法[32]及多因素裂缝判别方法[33]对HF-A井目的层的裂缝识别结果进行了对比。测井裂缝参数主要计算了裂缝孔隙度、裂缝开度及裂缝渗透率等3个参数。
对于R/S变尺度方法,其识别裂缝的依据为裂缝的存在能增加测井数据的复杂性[32]。通过研究单测井参数序列的过程序列全层段极差R(N)与标准差S(N)的比值与测井点数(N)之间的变化关系,对天然裂缝发育段进行预测。研究发现,对于该地区海陆过渡相碎屑岩地层而言,测井序列(笔者采用浅侧向电阻率)的R/S与N在双对数坐标中时对裂缝的识别能力较差(见图7)。而测井序列的R/S与N的线性交汇图则能较好地识别出裂缝发育段(见图8),从图8可以识别出目的层中的5个裂缝发育段,表现为斜率突然发生降低。虽然图7中R/S与N在双对数坐标中时不能有效识别出地层裂缝发育段,但对其整体进行线性拟合,可确定单井目的层整体斜率,该斜率值可用于不同单井裂缝发育程度的对比,其值越低,表示单井裂缝发育程度相对更高一些。
|
| 图7 R/S法中lg(R/S)与lgN的关系 Fig.7 Relationship between lg(R/S) and lg N by R/S method |
|
| 图8 R/S法中R/S与N的关系 Fig.8 Relationship between R/S and N by R/S method |
对于多因素裂缝概率判别[33],通过对目的层裂缝(及不含裂缝)测井参数进行提取(50组,裂缝及非裂缝参数各25组),根据贝叶斯判别分析准则[33]逐步建立裂缝判别方程Y。考虑到实际各单井所含测井资料,最终选用纵波时差、井径、体积密度、深侧向电阻率及浅侧向电阻率对目的层进行多因素裂缝概率判别。当判别函数Y大于1.5时,为裂缝发育地层段;当Y小于1.5时,地层裂缝不发育。50组样本参数的判别准确率约为80%。
3.3 裂缝识别方法及结果对比综合常规测井、裂缝参数、多因素概率判别、R/S法裂缝识别及基于阵列声波测井裂缝识别方法的HF-A井山西组目的层裂缝测井综合识别成果见图9。该井段具有经过岩性归位校正后的FMI成像测井,其中裂缝综合识别结果为FMI成像测井中所识别出的裂缝发育段。
|
| 图9 HF-A井裂缝测井综合识别成果 Fig.9 Comprehensive fracture logging identification results of Well HF-A |
从图9可以看出,该井段山西组地层发育5个裂缝发育段。这些裂缝发育段特征在部分常规测井(如井径、密度)及裂缝参数(如裂缝渗透率)上的裂缝响应并不是特别显著,这与该地区岩石致密化所导致的裂缝特征较为复杂有关,导致基于常规测井数据的多因素裂缝概率判别方法的裂缝识别效果一般。对比裂缝综合识别结果,多因素裂缝概率判别方法的吻合度仅为67%。对于R/S法,该方法能有效识别出碎屑岩地层中的5个裂缝发育段。但在单裂缝发育段的纵向识别精度上具有一定出入,该方法所解释的裂缝发育段约为80%,相比前述多因素判别法有显著提高。
基于阵列声波测井的裂缝识别方法能从声学角度对地层岩石孔缝形态进行反演,图9中α<0.1所指示的地层埋深段即为裂缝发育段。该方法不仅考虑了地层中常规纵波的变化,而且考虑了横波的变化,这2个参数一般来说均能对地层中裂缝的有无及存在状态产生显著响应。因此,从图9的解释结果来看,裂缝识别效果最好。除了497.1~498.0 m的裂缝发育段未能识别出来之外,其他4个裂缝发育段均能有效识别,且识别精度较高,吻合度约为92%。该方法的裂缝识别精度依赖于横波时差的可靠性,对具有可靠阵列声波测井的单井地层识别效果较好;当没有该项测井时,其裂缝识别精度取决于地层岩石横波时差预测效果[34, 35]。
上述研究结果表明,基于阵列声波测井的裂缝识别方法适用于研究区海陆过渡相碎屑岩地层,相比其他常规识别方法具有明显优势,因而具有一定应用前景。
4 结 论1) 提出了基于阵列声波测井资料识别海陆过渡相碎屑岩地层裂缝的方法,通过联合Gassmann方程、自适应基质矿物及骨架模量提取方法及DEM理论模型,可以实现对单井裂缝发育段的有效识别。
2) 所提取的地层岩石基质矿物体积模量Ko分布在13~58 GPa,岩石体积模量Ks和干岩石骨架体积模量Kd略小于Ko;地层岩石基质矿物剪切模量μo分布在5~18 GPa,岩石剪切模量μs略小于μo;利用自适应方法同时可以对地层横波时差进行有效预测,相对误差仅为3.5%。
3) 基于阵列声波测井的裂缝识别方法其效果明显好于常规测井、裂缝参数法、多因素概率判别法和R/S法等常规裂缝识别方法,表明采用该方法对海陆过渡相碎屑岩地层裂缝进行识别,结果更为可靠。
| [1] |
李建忠,郭彬程,郑民,等.中国致密砂岩气主要类型、地质特征与资源潜力[J].天然气地球科学,2012,23(4):607-615. Li Jianzhong,Guo Bincheng,Zheng Min,et al.Main types,geological features and resource potential of tight sandstone gas in China[J].Natural Gas Geoscience,2012,23(4):607-615. |
| [2] |
童晓光,郭彬程,李建忠,等.中美致密砂岩气成藏分布异同点比较研究与意义[J].中国工程科学,2012,14(6):9-15,30. Tong Xiaoguang,Guo Bincheng,Li Jianzhong,et al.Comparison study on accumulation & distribution of tight sandstone gas between China and the United States and its significance[J].Engineering Science,2012,14(6):9-15,30. |
| [3] |
丁文龙,尹帅,王兴华,等.致密砂岩气储层裂缝评价方法与表征[J].地学前缘,2015,22(4):173-187. Ding Wenlong,Yin Shuai,Wang Xinghua,et al.Assessment method and characterization of tight sandstone gas reservoir fractures[J].Earth Science Frontiers,2015,22(4):173-187. |
| [4] | Olson J E,Laubach S E,Lander R H.Natural fracture characterization in tight gas sandstones:integrating mechanics and diagenesis[J].AAPG Bulletin,2009,93(11):1535-1549. |
| [5] | Nelson R A.Geological analysis of naturally fractured reservoirs[M].Houston :Gulf Publishing Company,1985:8-26. |
| [6] |
曾义金.页岩气开发的地质与工程一体化技术[J].石油钻探技术,2014,42(1):1-6. Zeng Yijin.Integration technology of geology & engineering for shale gas development[J].Petroleum Drilling Techniques,2014,42(1):1-6. |
| [7] | Zeng Lianbo,Li Xiangyang.Fractures in sandstone reservoirs with ultra-low permeability:a case study of the Upper Triassic Yanchang Formation in the Ordos Basin,China[J].AAPG Bulletin,2009,93(4):461-477. |
| [8] |
赵立强,刘飞,王佩珊,等.复杂水力裂缝网络延伸规律研究进展[J].石油与天然气地质,2014,35(4):562-569. Zhao Liqiang,Liu Fei,Wang Peishan,et al.A review of creation and propagation of complex hydraulic fracture network[J].Oil & Gas Geology,2014,35(4):562-569. |
| [9] |
尹帅,单钰铭,周文,等.破裂准则方程在深层岩石力学强度响应中的应用[J].地球物理学进展,2014,29(6):2942-2949. Yin Shuai,Shan Yuming,Zhou Wen,et al.Application of failure criterion equation in deep rock's mechanical strength response[J].Progress in Geophysics,2014,29(6):2942-2949. |
| [10] |
孙炜,李玉凤,付建伟,等.测井及地震裂缝识别研究进展[J].地球物理学进展,2014,29(3):1231-1242. Sun Wei,Li Yufeng,Fu Jianwei,et al.Review of fracture identification with well logs and seismic data[J].Progress in Geophysics,2014,29(3):1231-1242. |
| [11] | Murray G H.Quantitative fracture study-Sanish Pool McKenzie country,North Dakota[J].AAPG Bulletin,1968,52(1):57-65. |
| [12] |
尹帅,单钰铭,周文,等.Hoek-Brown准则在致密砂岩弹性参数测井解释中的应用[J].石油钻探技术,2015,43(1):88-95. Yin Shuai,Shan Yuming,Zhou Wen,et al.Application of Hoek-Brown criterion for tight sandstone elastic parameters in log interpretation[J].Petroleum Drilling Techniques,2015,43(1):88-95. |
| [13] |
丁文龙,漆立新,吕海涛,等.利用FMI资料分析塔河油田南部中-下奥陶统储层构造应力场[J].现代地质,2009, 23(5):852-859. Ding Wenlong,Qi Lixin,Lv Haitao,et al.Analysis of the lower-middle ordovician reservoir tectonic stress field using FMI data in the south of Tahe Oilfield[J].Geoscience,2009,23(5):852-859. |
| [14] | Ding Wenlong,Fan Tailiang,Yu Bingsong,et al.Ordovician carbonate reservoir fracture characteristics and fracture distribution forecasting in the Tazhong Area of Tarim Basin,Northwest China[J].Journal of Petroleum Science and Engineering,2012,86/87(5):62-70. |
| [15] | Jahanbakhshi R,Keshavarzi R.Intelligent prediction of wellbore stability in oil and gas wells:an artificial neural network approach[J].American Rock Mechanics Association,2012,46:1-9. |
| [16] |
秦勇,梁建设,申建,等.沁水盆地南部致密砂岩和页岩的气测显示与气藏类型[J].煤炭学报,2014,39(8):1559-1565. Qin Yong,Liang Jianshe,Shen Jian,et al.Gas logging shows and gas reservoir types in tight sandstones and shales from Southern Qinshui Basin[J].Journal of China Coal Society,2014,39(8):1559-1565. |
| [17] |
丁文龙,梅永贵,尹帅,等.沁水盆地煤系地层孔-裂隙特征测井反演[J].煤炭科学技术,2015,43(2):53-57. Ding Wenlong,Mei Yonggui,Yin Shuai,et al.Logging inversion on pore-crack features of coal measure strata in Qinshui Basin[J].Coal Science and Technology,2015,43(2):53-57. |
| [18] |
李月,林玉祥,于腾飞.沁水盆地构造演化及其对游离气藏的控制作用[J].桂林理工大学学报,2011,31(4):481-487. Li Yue,Lin Yuxiang,Yu Tengfei.Tectonic evolution of Qinshui Basin and free gas reservoir control[J].Journal of Guilin University of Technology,2011,31(4):481-487. |
| [19] | Su X B,Lin X Y,Zhao M J,et al.The upper Paleozoic coalbed methane system in the Qinshui Basin,China[J].AAPG Bulletin,2005,89(1):81-100. |
| [20] |
丁文龙,许长春,久凯,等.泥页岩裂缝研究进展[J].地球科学进展,2011,26(2):135-144. Ding Wenlong,Xu Changchun,Jiu Kai,et al.The research progress of shale fractures[J].Advances in Earth Science,2011,26(2):135-144. |
| [21] | Bogdonov A A.The intensity of cleavage as related to the thickness of beds[J].Soviet Geology,1947,16:102-104. |
| [22] | Robert G K,Xu Shiyu.An approximation for the Xu-White Velocity[J].Geophysics,2002,67(5):1406-1414. |
| [23] |
林凯,贺振华,熊晓军,等.基于基质矿物模量自适应提取横波速度反演方法[J].石油地球物理勘探,2013,48(2):262-267. Lin Kai,He Zhenhua,Xiong Xiaojun,et al.S-wave velocity inversion based on adaptive extraction of matrix mineral modulus[J].Oil Geophysical Prospecting,2013,48(2):262-267. |
| [24] |
雍世和,张超谟.测井数据处理与综合解释[M].东营:石油大学出版社,1996:235-240. Yong Shihe,Zhang Chaomo.Logging data processing and comprehensive interpretation[M].Dongying:Petroleum University Press,1996:235-240. |
| [25] | He Xilei,He Zhenhua,Wang Ruiliang,et al.Calculations of rock matrix modulus based on a linear regression relation[J].Applied Geophysics,2011,8(3):155-162. |
| [26] | Li Hongbing,Zhang Jiajia.Elastic moduli of dry rocks containing spheroidal pores based on differential effective medium theory[J].Journal of Applied Geophysics,2011,75(4):671-678. |
| [27] |
董宁,霍志周,孙赞东,等.泥页岩岩石物理建模研究[J].地球物理学报,2014,57(6):1990-1998. Dong Ning,Huo Zhizhou,Sun Zandong,et al.An investigation of a new rock physics model for shale[J].Chinese Journal of Geophysics,2014,57(6):1990-1998. |
| [28] |
李宏兵,张佳佳,姚逢昌.岩石的等效孔隙纵横比反演及其应用[J].地球物理学报,2013,56(2):608-615. Li Hongbing,Zhang Jiajia,Yao Fengchang.Inversion of effective pore aspect ratios for porous rocks and its applications[J].Chinese Journal of Geophysics,2013,56(2):608-615. |
| [29] | Hudson J A.Wave speeds and attenuation of elastic waves in material containing cracks[J].Geophysical Journal Royal Astronomical Society,1981,64(1):133-149. |
| [30] | Berryman J G,Berge P A.Critique of two explicit schemes for estimating elastic properties of multiphase composites[J].Mechanics of Materials,1996,22(2):149-164. |
| [31] | Li Hongbing,Zhang Jiajia.Analytical approximations of bulk and shear moduli for dry rock based on the differential effective medium theory[J].Geophysical Prospecting,2012,60(2):281-292. |
| [32] | Pang J,North C P.Fractals and their applicability in geological wireline log analysis[J].Journal of Petroleum Geology,1996,19(3):339-349. |
| [33] |
郭科,龚灏.多元统计方法及其应用[M].成都:电子科技大学出版社,2003:65-72. Guo Ke,Gong Hao.Multivariate statistical method and application[M].Chengdu:University of Electronic Science & Technology of China Press,2003:65-72. |
| [34] |
路保平,鲍洪志.岩石力学参数求取方法进展[J].石油钻探技术,2005,33(5):44-47. Lu Baoping,Bao Hongzhi.Advances in calculation methods for rock mechanics parameters[J].Petroleum Drilling Techniques,2005,33(5):44-47. |
| [35] |
陆黄生.测井技术在石油工程中的应用分析与发展思考[J].石油钻探技术,2012,40(6):1-7. Lu Huangsheng.Application and development analysis of well logging information in petroleum engineering[J].Petroleum Drilling Techniques,2012,40(6):1-7. |













