2. 中海油能源发展股份有限公司工程技术分公司, 天津 300450
2. CNOOC EnerTech-Drilling & Production Co., Tianjin, 300450, China
水力喷射压裂技术具有一趟管柱多段压裂、能够有效提高压裂效率等优势,在直井、定向井和水平井的套管完井、筛管完井与裸眼完井等不同完井方式中得到了广泛应用,且效果显著[1, 2, 3, 4, 5, 6]。准确地预测起裂压力,可以提前预测地面泵压,并配备相应的设备。
目前,国内外学者在对常规射孔压裂破裂压力进行理论分析和实验研究时,假设射孔孔眼为圆柱形,发现裂缝从孔眼根部起裂,而进行水力喷射压裂的起裂机理的实验研究及现场应用发现,起裂压力比常规射孔压裂低。大部分学者认为在强大的水力冲击载荷下,冲击点附近的塑性变形会引起径向裂纹,故在射孔孔眼端部沿微裂纹破裂的起裂压力较低[7, 8, 9, 10, 11, 12, 13, 14]。但是,其研究内容多集中在单一裂缝的起裂压裂,而第一条裂缝周围的诱导应力场对后续压裂起裂压力的影响不容忽视[15, 16, 17, 18, 19]。因此,笔者建立了诱导应力场影响下的水力喷射压裂起裂压力模型,以便对第一条裂缝周围诱导应力场如何影响后续压裂起裂压力进行准确预测。
1 初始裂缝诱导应力场模型建立第一条裂缝会导致储层地应力场的改变,根据Westergaard理论,对初始裂缝的诱导应力场模型做如下假设:储层为均质各向同性;裂缝为垂直裂缝,裂缝纵剖面为椭圆形,建立了诱导应力场模型(见图1)[20]。
|
| 图 1 二维垂直裂缝诱导应力场 Fig.1 The induced stress field of two-dimesional vertical fractures |
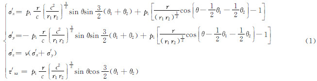
初始裂缝诱导应力场属于平面应变问题,根据应力分量和位移分量的傅里叶积分变换,二维垂直裂缝诱导应力场中任意一点(x,y,z)处的诱导应力为:


如果θ,θ1和θ2为负值,则应加上180°。
根据迭加原理,诱导应力与原地应力的合地应力产生的效果等同于诱导应力与原地应力单独作用效果的累加,因此地层三向主应力为:

第一条裂缝周围的诱导应力场改变了原地应力状态,距离第一条裂缝越近,原地应力受第一条裂缝诱导应力场的影响越大,如图2所示。在设计第二段压裂起裂压力时,应充分考虑第一条裂缝诱导应力场的影响。
2 水力喷射压裂起裂模型假设水力喷砂射孔孔眼为圆柱形,由井筒附近应力分布可以得到作用在射孔孔眼附近的地应力,假设射孔孔眼为水平井筒,按照水平井筒周围应力分布模型即可得到射孔孔眼附近应力分布[8],这里不再详细阐述。
|
| 图 2 水力喷射分段压裂示意 Fig.2 Schematic diagram of staged hydraulic jet fracturing |
目前,有学者在研究常规射孔孔眼内压力分布时,假设孔内流体与井筒沟通良好,流体压力相等;也有学者认为孔眼内部压力低于井筒压力,主要考虑流体向孔眼内流动时会产生流动摩阻[14, 21]。水力喷射压裂油管与套管同时泵注压裂液,油管压裂液通过喷嘴高速射向地层的孔眼,在孔眼内产生高于环空的压力,所以孔眼内的压力为:

这里选用李根生等人[15]对孔内增压的研究结果:

由于水力喷射压裂射流冲击岩石过程中,在垂直冲击表面会产生径向微裂纹[15],假设由高压水射流冲击产生的微裂纹为天然裂缝,故裂缝起裂为沿天然裂缝的张性起裂,由天然裂缝地层中水力裂缝起裂压力模型[22, 23],可得裂缝面上的正应力为:

则裂缝沿天然裂缝张性破坏的准则为:

吉林油田A井为直井,井斜角和方位角均为0°,套管外径为177.8 mm;压裂层段地层三向主应力分别为44,40和32 MPa,弹性模量为51.5 GPa,泊松比为0.25,地层压力为32 MPa。A井岩石抗拉强度为5 MPa,采用水力喷射分段压裂工艺,喷嘴直径为6.0 mm,压裂液密度为1.05 kg/L,油管排量为3.5 m3/min,流量系数为0.95,孔眼半径为5.0 mm。该井水力喷射分段压裂的第一段和第二段现场施工曲线如图3所示。
|
| 图 3 吉林油田A井水力喷射分段压裂施工曲线 Fig.3 Operation curves of staged hydrautic jet fractuing in Well A in Jilin Oilfield |
从图3可以看出,第一段裂缝起裂对应的地面油压为48 MPa,第二段裂缝起裂对应的地面油压为56 MPa。
假设地层均质各向同性[24],将A井地层裂缝数据代入所建立的诱导应力场水力喷射分段压裂起裂模型,假设第二条裂缝与第一条裂缝距离分别为5,10,15,20,25,30,35,40,45,50,55和60 m,计算得到了各自的裂缝起裂压力,结果见图4。
|
| 图 4 诱导应力影响下的裂缝起裂压力 Fig.4 Fracture initiation presure under the effect of induced stress |
由图4可知,与初始裂缝距离越近,裂缝起裂压力越大,增幅可达21%;在与初始裂缝距离30 m以内时,受裂缝诱导应力场影响较为严重,起裂压力增加3 MPa以上。A井第二段喷射点距初始裂缝18 m,预测起裂压力约为45 MPa,而距离第一段喷射点无穷远处裂缝的起裂压力可近似为单一裂缝即第一段裂缝的起裂压力,约为37.5 MPa,从图4可以看到预测起裂压力升高了7.5 MPa,而从水力喷射压裂施工曲线(见图3)可以看到2条裂缝起裂时对应的地面油压分别为48 MPa及56 MPa,即起裂压力增大8 MPa(忽略2条裂缝之间的摩阻压降,地面油压的差值即为起裂压力的差值),预测结果与实际结果误差为6.25%,在工程误差允许范围内。
4 参数敏感性分析根据上述水力喷射分段压裂的裂缝起裂模型,分别计算不同裂缝高度、裂缝净压力、原地最小水平主应力对第二条裂缝起裂压力的影响。
4.1 裂缝高度的影响根据水力喷射分段压裂裂缝起裂模型以及A井地层参数,在第一条裂缝高度为10,20,30和40 m条件下,分别假设第二条裂缝与第一条裂缝距离为5,10,15,20,25,30,35,40,45,50,55和60 m,计算第二条裂缝的起裂压力,结果如图5所示。
|
| 图 5 第一条裂缝高度对后续压裂段起裂压力的影响 Fig.5 The effect of the height of the first fracture on the following initiation pressure |
从图5可以看出,与第一条裂缝距离越近,第二条裂缝起裂压力越高,在距初始裂缝30 m范围内,其对后续压裂起裂压力影响显著,最大增幅可达21%;第一条裂缝缝高越高,后续压裂段起裂压力越大,缝高每增加10 m,起裂压力增大2 MPa;第一条裂缝缝高越高,其对第二条裂缝起裂压力的影响范围越大。
缝高越高,缝宽也较宽,则裂缝体积越大,形成的诱导应力场的范围也越大,裂缝起裂压力越大。缝高增高和裂缝间距缩短造成起裂压力升高,影响压裂效果,因此合理优化缝高和裂缝间距,能有效提高压裂效果[25, 26, 27, 28]。
4.2 裂缝净压力的影响根据水力喷射分段压裂裂缝起裂模型以及A井地层参数,在第一条裂缝净压力为20,25,30,35和40 MPa条件下,分别假设第二条裂缝与第一条裂缝距离为5,10,15,20,25,30,35,40,45,50,55和60 m,计算第二条裂缝的起裂压力,结果如图6所示。
|
| 图 6 裂缝净压力对后续压裂段起裂压力的影响 Fig.6 The effect of net fracture pressure on subsequent initiation pressure |
由图6可知,第一条裂缝的净压力对第二条裂缝起裂压力影响显著;裂缝净压力越大,第二条裂缝起裂压力也越大,净压力每增加5 MPa,起裂压力增大3 MPa。分析认为,裂缝净压力越大,其对裂缝周围诱导应力场的贡献越大,故造成起裂压力升高。
4.3 原地最小水平主应力的影响根据水力喷射分段压裂的裂缝起裂模型以及A井地层参数,原地最小水平主应力分别为20,23,26,29和32 MPa条件下,分别假设第二条裂缝与第一条裂缝距离为5,10,15,20,25,30,35,40,45,50,55和60 m,计算第二条裂缝的起裂压力,结果如图7所示。
|
| 图 7 原地最小水平主应力对后续压裂段起裂压力的影响 Fig.7 The effect of minimum horizontal in-situ principal stresson subsequent initiation pressure |
由图7可知,原地最小水平主应力对第二条裂缝起裂压力没有影响。原地最小水平主应力越小,裂缝起裂压力越小,但是后续压裂的裂缝起裂压力没有增大,说明原地应力状态对诱导应力没有影响。
由以上敏感性分析可知,压裂形成的第一条裂缝的缝高和裂缝净压力对后续压裂裂缝起裂压力影响较大。第一条裂缝缝高越高,后续压裂段起裂压力越大,对第二条裂缝起裂压力的影响范围增大;裂缝净压力对第二条裂缝起裂压力影响显著,裂缝净压力越大,第二条裂缝起裂压力随之增加。
5 结论与建议1) 建立了裂缝诱导应力场下水力喷射分段压裂的裂缝起裂模型,为预测受第一条裂缝干扰的后续裂缝起裂压力提供了依据。计算条件下,裂缝间距大于50 m,能有效减小第一条裂缝诱导应力场的影响,裂缝净压力及缝高对后续裂缝起裂压力影响比较显著,后续起裂压力最大增幅可达21%,原地应力状态对诱导应力场影响较小。
2) 该起裂模型做出了一定简化,只考虑了压裂第一条裂缝对于后续压裂段起裂压力的影响。建议在后续研究中,考虑多条裂缝和储层非均质条件下裂缝的形态、方位对后续裂缝起裂压力的影响。
| [1] | Surjaatmadja J B, Grundmann S R, McDaniel B W, et al.Hydrajet fracturing:an effective method for placing many fractures in openhole horizontal wells[R].SPE 48856, 1998. |
| [2] | Surjaatmadja J B, McDaniel B W, Sutherland R L.Unconventional multiple fracture treatments using dynamic diversion and downhole mixing[R].SPE 77905, 2002. |
| [3] | Surjaatmadja J B.Subterranean formation fracturing methods:US, 5765642[P].1998-06-16. |
| [4] | Wolny S F, Schiffner G, Schmelzl E G, et al.Coiled-tubing fracturing increases deliverability, recoverable reserves, and NPV of infill development wells in a mature shallow gas field[R].SPE 77679, 2002. |
| [5] |
田守嶒, 李根生, 黄中伟, 等.水力喷射压裂机理与技术研究进展[J].石油钻采工艺, 2008, 30(1):58-62. Tian Shouzeng, Li Gensheng, Huang Zhongwei, et al.Research on hydrajet fracturing mechanisms and technologies[J].Oil Drilling & Production Technology, 2008, 30(1):58-62. |
| [6] |
盛茂, 李根生, 黄中伟, 等.水力喷射孔内射流增压规律数值模拟研究[J].钻采工艺, 2011, 34(2):42-45. Sheng Mao, Li Gensheng, Huang Zhongwei, et al.Numerical simulation of pressure boosting effect in jet hole during hydrajet fracturing[J].Drilling & Production Technology, 2011, 34(2):42-45. |
| [7] | Fallahzadeh S H, Shadizadeh S R, Pourafshary P, et al.Modeling the perforation stress profile for analyzing hydraulic fracture initiation in a cased hole[R].SPE 136990, 2010. |
| [8] | Fallahzadeh S H, Shadizadeh S R, Pourafshary P.Dealing with the challenges of hydraulic fracture initiation in deviated-cased perforated boreholes[R].SPE 132797, 2010. |
| [9] |
郭建春, 邓燕, 赵金洲.射孔完井方式下大位移井压裂裂缝起裂压力研究[J].天然气工业, 2006, 26(6):105-107. Guo Jianchun, Deng Yan, Zhao Jinzhou.Study on breakdown pressure of hydraulic fracturing for extended reach wells with perforation completion[J].Natural Gas Industry, 2006, 26(6):105-107. |
| [10] |
黄中伟, 李根生.水力射孔参数对起裂压力影响的实验研究[J].中国石油大学学报:自然科学版, 2007, 31(6):48-54. Huang Zhongwei, Li Gensheng.Experimental study on effects of hydrau-perforation parameters on initial fracturing pressure[J].Journal of China University of Petroleum:Edition of Natural Science, 2007, 31(6):48-54. |
| [11] |
姜浒, 陈勉, 张广清, 等.定向射孔对水力裂缝起裂与延伸的影响[J].岩石力学与工程学报, 2009, 28(7):1321-1326. Jiang Hu, Chen Mian, Zhang Guangqing, et al.Impact of oriented perforation on hydraulic fracture initiation and propagation[J].Chinese Journal of Rock Mechanics and Engineering, 2009, 28(7):1321-1326. |
| [12] |
刘欣, 刘从箐, 刘同斌, 等.相位对斜井射孔破裂压力的影响[J].天然气工业, 2010, 30(3):55-56. Liu Xin, Liu Congjing, Liu Tongbin, et al.Impact of phase angle on the breakdown pressure of deviated wellbore in perforating[J].Natural Gas Industry, 2010, 30(3):55-56. |
| [13] |
罗天雨, 郭建春, 赵金洲, 等.斜井套管射孔破裂压力及起裂位置研究[J].石油学报, 2007, 28(1):139-142. Luo Tianyu, Guo Jianchun, Zhao Jinzhou, et al.Study on fracture initiation pressure and fracture starting point in deviated wellbore with perforations[J].Acta Petrolei Sinica, 2007, 28(1):139-142. |
| [14] |
刘翔.垂直射孔井地应力及破裂压力研究[J].钻采工艺, 2008, 31(2):36-38. Liu Xiang.Study on earth stress and fracturing pressure in vertical perforated wells[J].Drilling & Production Technology, 2008, 31(2):36-38. |
| [15] |
李根生, 黄中伟, 田守嶒, 等.水力喷射压裂理论与应用[M].北京:科学出版社, 2011. Li Gensheng, Huang Zhongwei, Tian Shouceng, et al.Theory and application of hydra-jet fracturing[M].Beijing:Science Press, 2011. |
| [16] | Palmer I D.Induced stresses due to propped hydraulic fracture in coalbed methane wells[R].SPE 25861, 1993. |
| [17] | Hossain M M, Rahman M K, Rahman S S.A comprehensive monograph for hydraulic fracture initiation from deviated wellbores under arbitrary stress regimes[R].SPE 54360, 1999. |
| [18] | Lv Zhikai, He Shunli, Gu Daihong, et al.Hydraulic Fracture Initiation While Staged Fracturing for Horizontal Wells[R].IPTC 16508, 2013. |
| [19] |
刘洪, 胡永全, 赵金洲, 等.重复压裂气井诱导应力场模拟研究[J].岩石力学与工程学报, 2004, 23(23):4022-4027. Liu Hong, Hu Yongquan, Zhao Jinzhou, et al.Simulation study of induced stress field in refracturing gas well[J].Chinese Journal of Rock Mechanics and Engineering, 2004, 23(23):4022-4027. |
| [20] | Green A E, Sneddon I N.The distribution of stress in the neighbourhood of a crack in an elastic solid[J].Mathematical Proceedings of the Cambridge Philosophical Society, 1950, 46(1):159-163. |
| [21] |
彪仿俊, 刘合, 张劲, 等.螺旋射孔条件下地层破裂压力的数值模拟研究[J].中国科学技术大学学报, 2011, 41(3):219-226. Biao Fangjun, Liu He, Zhang Jin, et al.A numerical study of fracturing initiation pressure under helical perforation conditions[J].Journal of University of Science and Technology of China, 2011, 41(3):219-226. |
| [22] |
金衍, 张旭东, 陈勉.天然裂缝地层中垂直井水力裂缝起裂压力模型研究[J].石油学报, 2005, 26(6):113-118. Jin Yan, Zhang Xudong, Chen Mian.Initiation pressure models for hydraulic fracturing of vertical wells in naturally fractured formation[J].Acta Petrolei Sinica, 2005, 26(6):113-118. |
| [23] |
金衍, 陈勉, 张旭东.天然裂缝地层斜井水力裂缝起裂压力模型研究[J].石油学报, 2006, 27(5):124-126. Jin Yan, Chen Mian, Zhang Xudong.Initiation pressure models for hydraulic fracturing of vertical wells in naturally fractured formation[J].Acta Petrolei Sinica, 2006, 27(5):124-126. |
| [24] |
陈峥嵘, 邓金根, 朱海燕, 等.定向射孔压裂起裂与射孔优化设计方法研究[J].岩土力学, 2013, 34(8):2309-2315. Chen Zhengrong, Deng Jingen, Zhu Haiyan, et al.Research on initiation of oriented perforation fracturing and perforation optimization design method[J].Rock and Soil Mechanics, 2013, 34(8):2309-2315. |
| [25] |
邵尚奇, 田守嶒, 李根生, 等.水平井缝网压裂裂缝间距的优化[J].石油钻探技术, 2014, 42(1):86-90. Shao Shangqi, Tian Shouceng, Li Gensheng, et al.Fracture spacing optimization for fracure-network fracturing in horizontal wells[J].Petroleum Drilling Techniques, 2014, 42(1):86-90. |
| [26] |
黄中伟, 李根生, 汪永章, 等.水力喷射压裂技术在3层套管井中的应用[J].石油钻采工艺, 2012, 34(5):122-124. Huang Zhongwei, Li Gensheng, Wang Yongzhang, et al.Hydra-jet fracturing applied in a well with three-layer casings[J].Oil Drilling & Production Technology, 2012, 34(5):122-124. |
| [27] |
陈作, 何青, 王宝峰, 等.大牛地气田长水平段水平井分段压裂优化设计技术[J].石油钻探技术, 2013, 41(6):82-85. Chen Zuo, He Qing, Wang Baofeng, et al.Design optimization of staged fracturing for long lateral horizontal wells in Daniudi Gas Field[J].Petroleum Drilling Techniques, 2013, 41(6):82-85. |
| [28] |
王建麾, 王成旺, 余兴国, 等.PSK多级滑套水力喷射分段压裂技术的应用:以镇北油田水平井为例[J].断块油气田, 2014, 21(1):107-109. Wang Jianhui, Wang Chengwang, Yu Xingguo, et al.Application of staged fracturing technology with PSK multistage sliding sleeve jet:taking horizontal well in Zhenbei Oilfield as an example[J].Fault-Block Oil & Gas Field, 2014, 21(1):107-109. |











