2. 中原经济区煤层(页岩)气河南省协同创新中心, 河南焦作 454000;
3. 山西兰花煤层气有限公司, 山西晋城 048000
2. Collaborative Innovation Center of Coalbed Methane and Shale Gas for Central Plains Economic Region, Jiaozuo, Henan, 454000, China;
3. Shanxi Lanhua CBM Group Co. Ltd., Jincheng, Shanxi, 048000, China
随着我国煤层气开发井数量的不断增加,对不同排采阶段的排采控制技术要求越来越高。煤层气井排采煤储层中的水,在煤储层中形成水压和气压降落漏斗,最终达到煤层气解吸产出的目的。解吸后确定合理的放气套压,有利于煤储层水压和气压的传播,对于煤层气井提产阶段和稳产阶段获得稳定的气流补给起到重要作用。
根据“排水-降压-解吸-扩散-产气”的开发理论[1, 2, 3],将煤层气井的排采划分为4个阶段[4, 5],并提出了“快速降压-稳定产气-产气量下降”、“缓慢-连续-长期-稳定”、“排水-憋压-控压-稳产-衰减”的五段三压式等排采工作制度[6, 7, 8, 9, 10],较好地指导了煤层气井的排采生产。但不同地区煤储层的属性、地下水动力条件、围岩属性等存在差异,决定了不同煤层气井各阶段的排采工作制度存在差异。基于“五段三压式”排采工作制度及启动压力梯度、渗流理论等理论,建立了煤层气井合理放气套压的数学模型,并对该模型的合理性进行了验证,分析了放气套压差值对平均日产气量的影响规律,可为煤层气井现场排采确定合理的放气套压提供参考。
1 直井套压变化数学模型的建立 1.1 建模思路煤层气井的憋压阶段是指煤层气井井口出现套压至井口放气的时间段,合理的放气套压既能促进水压和气压的传播,又能避免煤储层渗透率迅速下降对后期产气量造成影响。
建模思路为:
1) 根据启动压力梯度、井底流压和储层压力,计算憋压阶段排水的最大影响半径;
2) 根据稳定渗流井底压力表达式及排水的最大影响半径,计算煤储层解吸半径;
3) 根据稳定渗流井底压力表达式、兰氏方程及气体储集空间体积,计算最大套压。
1.2 数学模型煤储层中水能否发生流动,取决于水流动的动力是否大于其阻力。研究表明:排采时储层压力和井底压力的压差超过一定值,煤储层中的水才能发生流动,让水发生流动的压力梯度称为启动压力梯度。同时,启动压力梯度与渗透率之间存在以下关系[11, 12]:
式中:λ为启动压力梯度,MPa/m;Kw为储层渗透率,mD;a和b为常数,可以由试验数据拟合得出。
气水两相流阶段,若要排采出更远端的水,此时的压力梯度必须大于等于水相的启动压力梯度,即:
式中:λwg为煤储层水流动的启动压力梯度,MPa/m;pe为原始储层压力,MPa;pw为井底压力,MPa;re为排水影响半径,m。
根据式(1)和式(2),可以计算出煤层气井憋压阶段排水的最大影响半径为:
根据渗流理论可知,煤层气井流体稳定渗流时的压力分布表达式为[13]:
通过分离变量,平面径向稳定渗流的压力分布表达通式为:
式中:r为地层排水影响半径范围内的任意一点距井筒中心的距离,m;p为距井筒中心距离为r处的储层压力,MPa;C1和C2为通式系数。
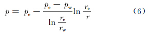
r=rw时,p=pw;r=re时,p=pe,将其代入压力分布表达通式,得到平面径向稳定渗流状态下地层任意一点的压力分布表达式为:
式中:rw为生产套管的外半径,m。
当憋压阶段排水影响半径达到最大影响半径时,边界的压力为原始储层压力,则影响半径范围内有一点处的压力为临界解吸压力,此处距井筒中心的距离即为最大解吸半径,即:
式中:rg为煤储层的最大解吸半径,m;pg为煤储层的临界解吸压力,MPa。
排水影响半径范围内的煤储层含气量,可以根据兰氏方程进行计算,即:
式中:V为煤储层解吸半径范围内任意一点的含气量,m3/t;VL为煤储层兰氏体积,m3/t;pL为煤储层兰氏压力,MPa。
将排水影响半径范围内任意一点的地层压力表达式代入兰氏方程,得:
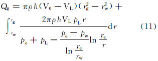
在煤储层最大解吸半径范围内,产气量与解吸半径的关系可表示为:
式中:Qg为解吸半径影响范围内产气量,m3;ρ为煤储层的密度,t/m3;h为煤层的有效厚度,m;V0为煤储层原始含气量,m3/t。
根据煤储层任意一点的压力、最大解吸半径及兰氏方程,可以计算出煤层气井憋压阶段的储层解吸气量:
煤储层解吸的气体储存于井筒环空以及煤储层孔裂隙通道的部分空间中,其储存空间的体积可表示为:
式中:QH为气体储存空间体积,m3;H为井筒液面至井口的距离,m;r2为井筒生产套管的内半径,m;r1为井筒油管外半径,m;φ为煤储层孔隙度;Sg为气/水两相流阶段孔裂隙中的含气饱和度。
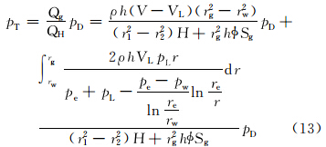
根据理想气体状态方程、解吸气量及气体储存空间体积,可以计算出最大套压,即:
式中:pT为计算的最大套压,MPa;pD为标准状态下的大气压,MPa。
将煤层气井的基本参数及排采过程参数依次代入式(3)、式(7)和式(13),运用MATLAB软件进行积分,可求得对应状态下的最大套压,即合理的放气套压。
2 实例计算分析沁水盆地大宁区块以3#煤层为主进行煤层气开发,煤层埋深340.00~640.00 m,含气量11.2~16.4 m3/t,煤层厚度3.5~7.5 m,且分布稳定,地质构造相对较简单,以宽缓的褶皱构造为主。利用建立的数学模型计算合理放气套压,以期为实际排采过程中的放气套压提供参考。分别设定不同的计算放气套压与实际放气套压的差值(以下简称放气套压差值),根据最后稳产期的平均日产气量分析实际放气套压是否合理,验证所建放气套压数学模型的准确性。
根据该区块的煤层气勘探开发资料及实验室测试资料,选择数学模型所需的基本参数。其中,a和b由启动压力梯度与渗透率的试验拟合得出,a=0.011 1,b=-1.157 2。兰氏体积、兰氏压力参数由等温吸附试验获得,即VL=42 m3/t,pL=2.45 MPa。生产参数r1,r2,rw和Kw由勘探开发资料获得,其中r1=0.036 5 m,r2=0.062 2 m,rw=0.069 8 m,Kw=2.5 mD。储层压力、井底压力、孔隙度和煤层厚度等参数通过勘探开发资料获得。气水两相流阶段,不同气相相对渗透率条件下的含气饱和度通过试验测得。模型计算所需基本参数及计算结果见表1。
| 井号 | pe/MPa | V0/(m3·t-1) | pg/MPa | h/m | H/m | φ | Sg | 计算放气套压/MPa | 实际放气套压/MPa | 放气套压差值/MPa | 平均日产气量/m3 |
| 1# | 1.64 | 15.66 | 1.457 | 6.01 | 498 | 0.03 | 0.17 | 1.426 | 1.290 | 0.136 | 1 230 |
| 2# | 1.99 | 14.87 | 1.343 | 3.99 | 510 | 0.03 | 0.39 | 1.335 | 1.140 | 0.195 | 575 |
| 3# | 1.98 | 14.88 | 1.344 | 5.38 | 505 | 0.03 | 0.30 | 1.315 | 1.110 | 0.205 | 553 |
| 4# | 1.99 | 14.21 | 1.252 | 3.79 | 515 | 0.03 | 0.31 | 1.237 | 1.150 | 0.087 | 2 277 |
| 5# | 1.69 | 13.47 | 1.157 | 6.32 | 495 | 0.03 | 0.32 | 1.146 | 1.020 | 0.126 | 1 206 |
| 6# | 2.07 | 15.57 | 1.443 | 3.48 | 512 | 0.03 | 0.34 | 1.337 | 1.310 | 0.027 | 2 392 |
从表1可看出,4#、6#井的放气套压差值较小,1#、5#井次之,2#、3#井较大。为了验证模型的准确性,分别选取3#、5#和6#井,做出憋压阶段及后期产气阶段的日产水量和日产气量曲线(见图1)。从图1可看出,6#井憋压179d后放气,放气套压差值较小,产气量缓慢上升到一定值后稳定,产水量缓慢降低,最后基本稳定在0.5m3/d左右,说明该井水压和气压都能较平稳地向远处传递。5#井的放气套压差值稍大,憋压183d后,进入产气阶段,日产水量变化较大,说明水压传递不畅通,产气量在气压出现快速上升后从1 700 m3d左右降至900 m3/d左右,说明气压传播也不稳定,气压降落漏斗不平稳导致供气体积变化较大。3#井放气套压差值较大,憋压119d后,进入产气阶段,产水量变化大,由2.0 m3/d左右降至0.2 m3/d,水压传递速度变得非常缓慢,产气量维持在600 m3/d左右。分析结果在一定程度上佐证了模型计算的准确性。
|
| 图1 3口煤层气井的排采曲线 Fig.1 Production curves of three CBM wells |
根据兰花大宁区块6口煤层气井的放气套压差值及排采资料,绘制了放气套压差值与平均日产气量的关系曲线(见图2)。
|
| 图2 放气套压差值与平均日产气量关系曲线 Fig.2 Relationship between casing pressure drop and average daily gas production |
从图2可以看出,平均日产气量随放气套压差值的增大呈幂函数递减趋势。从曲线的变化趋势可以发现,当煤层气直井的放气套压差值较小时,随着放气套压差值的增大,平均产气量降低较快,产气量敏感性较强。随着放气套压差值的增大,平均日产气量的降低幅度逐渐减小。其原因是放气套压差值较小时,煤层气井实际放气套压更合理,压降漏斗平缓,能保持持续稳定供气。当放气套压差值较大时,实际放气套压不合理,稳产期煤储层的供气面积较小,无法支撑更多的气体解吸产出,需要通过降低产气量的方式来实现煤层气井的产气稳定。兰花大宁区块的勘探开发资料表明,该区块煤层气直井的放气套压差值应控制在0.15 MPa以内,才能保障煤层气直井的产气量维持在1 000 m3/d以上。从放气套压差值与稳产期的平均日产气量的关系曲线可以看出,合理的放气套压对产气量的影响较大,通过控制合理的放气套压,能够有效提高煤层气井的产气量和采收率。因此,实际排采过程中,应合理控制煤层气井的放气套压,使实际放气套压尽量接近模型计算的放气套压,避免由于憋压阶段的排采控制不合理对煤层气井的产气量造成的影响。
3 结 论1) 建立的憋压阶段合理放气套压数学模型和开发资料表明,煤层气直井的日产气量随放气套压差值的增大呈幂函数减小。
2) 利用合理放气套压数学模型计算的兰花区块煤层气井放气套压与实际放气套压的敏感差值为0.15 MPa,即该区块煤层气井在实际排采过程中,为有效保证后期的稳定高产,放气套压差值不能大于0.15 MPa。
3) 由于假设条件的理想化、煤储层物性特征的多样性、排采过程中产气主控因素的变化性,建立的数学模型存在一定的缺陷,导致数学模型不能涵盖更复杂的地质和储层条件,需要在今后的研究中进一步完善基础理论及预测模型,为煤层气井的合理排采提供指导。
致谢:本论文得到了兰花集团现场工作人员的大力支持和协助,在此表示衷心的感谢!
| [1] | Harpalani S,Shraufnagel R A.Shrinkage of coal matrix with release of gas and its impact on permeability of coal[J].Fuel,1990,69(4):551-556. |
| [2] | Clarkson C R,Bustin R M.The effect of pore structure and gas pressure upon the transport properties of coal a laboratory and modeling study[J].Fuel,1999,78(1):1345-1362. |
| [3] | Bustin R M.Importance of fabric and composition on the stress sensitivity of permeability in some coal Northern Sydney Basin,Australia relevance to coalbed methane exploitation[J].AAPG Bulletin,1997,81(11):171-184. |
| [4] |
张政,秦勇,Wang Guoxiong,等.基于等温吸附实验的煤层气解吸阶段数值描述[J].中国科学:地球科学,2013,43(8):1352-1358. Zhang Zheng,Qin Yong,Wang Guoxiong,et al.Numerical description of coalbed methane desorption stages based on isothermal adsorption experiment[J].Science China:Earth Sciences,2013,43(8):1352-1358. |
| [5] |
毛慧,韩国庆,吴晓东,等.煤层气井气水两相流动阶段流入动态研究[J].断块油气田,2011,18(4):502-504. Mao Hui,Han Guoqing,Wu Xiaodong,et al.Study on inflow performance in gas-water two-phase flow stage of coalbed methane well[J].Fault-Block Oil&Gas Field,2011,18(4):502-504. |
| [6] |
康永尚,赵群,王红岩,等.煤层气井开发效率及排采制度的研究[J].天然气工业,2007,27(7):79-82. Kang Yongshang,Zhao Qun,Wang Hongyan,et al.Developing efficiency and the working system of wells during the de-watering gas production process in coalbed ethane reservolrs[J].Natural Gas Industry,2007,27(7):79-82. |
| [7] |
杨秀春,李明宅.煤层气排采动态参数及其相互关系[J].煤田地质与勘探,2008,36(2):19. Yang Xiuchun,Li Mingzhai.Dynamic parameters of CBM well drainage and relationship among them[J].Coal Geology&Exploration,2008,36(2):19. |
| [8] |
李国富,侯泉林.沁水盆地南部煤层气井排采动态过程与差异性[J].煤炭学报,2012,37(5):798-803. Li Guofu,Hou Quanlin.Dynamic process and difference of coalbed methane wells production in southern Qinshui Basin[J].Journal of China Coal Society,2012,37(5):798-803. |
| [9] |
石惠宁,马成宇,梅永贵,等.樊庄高煤阶煤层气井智能排采技术研究及应用[J].石油钻采工艺,2010,32(4):107-111. Shi Huining,Ma Chengyu,Mei Yonggui,et al.Research and application of intelligent recovery technology for Fanzhuang high rank CBM wells[J].Oil Drilling&Production Technology,2010,32(4):107-111. |
| [10] |
李清,赵兴龙,谢先平,等.延川南区块煤层气井高产水成因分析及排采对策[J].石油钻探技术,2013,41(6):95-99. Li Qing,Zhao Xinglong,Xie Xianping,et al.Causes of high water yield CBM wells in Yanchuannan Block and draining measures[J].Petroleum Drilling Techniques,2013,41(6):95-99. |
| [11] |
曲占庆,翟恒立,田相雷,等.考虑压敏效应的变启动压力梯度试验研究[J].石油钻探技术,2012,40(3):78-82. Qu Zhanqing,Zhai Hengli,Tian Xianglei,et al.Experimental research on variable threshold pressure gradient considering pressure sensitive effect[J].Petroleum Drilling Techniques,2012,40(3):78-82. |
| [12] |
郭红玉,苏现波.煤储层启动压力梯度的实验测定及意义[J].天然气工业,2010,30(6):52-54. Guo Hongyu,Su Xianbo.An experimental measurement of the threshold pressure gradient of coal reservoirs and its significance[J].Natural Gas Industry,2010,30(6):52-54. |
| [13] | 葛家理.现代油藏渗流力学原理[M].北京:石油工业出版社,2003:81-89.Ge Jiali.Themodren mechanics of fluids flow in oil reservoir[M].Beijing:Petroleum Industry Press,2003:81-89. |


