南中国海海域是热带气旋的频发区,每年7—11月为台风期,近年来台风形成的频率呈增加的趋势,严重影响了深水钻井完井的效率和安全。一般情况下,面对台风,平台将停止钻井作业,回收所有隔水管,并航行至安全海域。但是随着作业水深的增加,回收所有隔水管完成撤离准备需要耗费较长时间,有时没有足够的时间回收隔水管。对于2 460.00 m水深的超深水井,起出所有隔水管完成撤离准备大概需要5~6 d(这不但包括将井底钻具组合起出井筒、完成钻井船和井口脱离、回收隔水管、完成钻井船转移准备所需要的时间,还包括停止钻井作业、起出井筒内钻具和封闭油气井等所需要的时间),对时效影响明显。悬挂隔水管撤离能节省钻机时间,但是悬挂隔水管撤离对隔水管和钻井船的安全性具有一定的影响,对悬挂方式、悬挂长度、平台撤离方式、环境条件的适应性等需要进行综合评估,推荐详细的悬挂撤离方案,以确保平台和隔水管系统的安全。为此,通过对不同悬挂模式进行对比,考虑平台撤离过程中的航速、航向等因素,对隔水管的安全性能进行了评估,并从保证隔水管系统安全的角度出发推荐了合理的平台航速和航向。
1 隔水管悬挂分析和模型的建立 1.1 悬挂模式硬悬挂模式:钻井隔水管底部总成与水下防喷器脱离后,隔水管通过安装工具坐于转盘面上,与平台刚性连接,平台运动直接传递给隔水管,如图1(a)所示。 软悬挂模式:钻井隔水管底部总成与水下防喷器脱离后,隔水管通过张紧器进行悬挂,隔水管系统的重量由张力器承担或者由张力器和升沉补偿器共同承担。平台升沉通过张紧器传递给伸缩节外筒,缓解隔水管的轴向受力,如图1(b)所示。
|
| 图 1 隔水管悬挂示意 Fig.1 Schematic diagram of riser hang-off |
不同悬挂模式下,影响隔水管系统安全性能的主要因素见表1。
| 限制因素 | 硬悬挂模式 | 软悬挂模式 |
| 隔水管等效应力 | 小于0.67倍屈服应力 | 小于0.67倍屈服应力 |
| 船体干涉 | 隔水管不能与月池及船体发生干涉碰撞 | 隔水管不能与月池及船体发生干涉碰撞 |
| 隔水管动态张力 | 隔水管不能出现动态压缩 | 隔水管不能出现动态压缩 |
| 海床接触 | 隔水管升沉不能与海床发生干涉 | 隔水管升沉不能与海床发生干涉 |
| 隔水管倾角 | 90%悬挂装置倾角极限 | 90%悬挂装置倾角极限 |
| 伸缩节 | 无 | 隔水管平台的升沉运动幅度小于伸缩节或张紧器的行程 |
以南海某深水井为例,进行隔水管悬挂安全性能评价。该井位于南中国海东北部深水区块,井位水深2 460.00 m,作业平台为HYSY981型平台。隔水管主管外径为533.4 mm,主管材料屈服强度为555 MPa;接头连接额定承载力为12.544×106 N;上部隔水管装置允许的最大倾角为6°。分析时采用的隔水管配置见表2。
| 组件 | 数量 | 单根长度/m | 距海底高度/m |
| 分流器 | 1 | 3.20 | 2 489.29 |
| 上挠性接头 | 1 | 2.91 | 2 486.09 |
| 升高短节 | 1 | 10.67 | 2 483.18 |
| 伸缩节 | 1 | 24.38 | 2 472.51 |
| 短节 | 1 | 12.19 | 2 439.38 |
| 壁厚25.4 mm裸单根 | 2 | 22.86 | 2 427.18 |
| 壁厚25.4 mm浮力单根 | 3 | 22.86 | 2 381.46 |
| 壁厚23.8 mm浮力单根 | 5 | 22.86 | 2 312.88 |
| 壁厚25.4 mm填充阀 | 1 | 6.09 | 2 198.58 |
| 壁厚23.8 mm浮力单根 | 20 | 22.86 | 2 192.49 |
| 壁厚22.2 mm浮力单根 | 31 | 22.86 | 1 735.29 |
| 壁厚22.2 mm浮力单根 | 26 | 22.86 | 1 026.63 |
| 壁厚19.0 mm浮力单根 | 10 | 22.86 | 432.27 |
| 壁厚22.2 mm裸单根 | 6 | 22.86 | 203.67 |
| 壁厚25.4 mm裸单根 | 2 | 22.86 | 66.51 |
| 终端短节 | 1 | 2.04 | 20.79 |
| LMRP(带下挠性接头) | 1 | 4.27 | 18.75 |
| 防喷器组 | 1 | 9.98 | 14.48 |
| 井口 | 1 | 4.50 | 4.50 |
在进行隔水管悬挂避台风撤离分析时,平台航速作为隔水管顶部钻井船的运动边界条件,利用幅值响应算子考虑波浪对平台运行的影响,以梁单元模拟隔水管管柱结构,同时考虑不同流向的波流载荷作用。在隔水管撤离过程中,海流载荷的方向与钻井船运动方向的关系如图2所示。分析模型假设平台沿x正方向航行,海流与平台航向的夹角为α,α较小时认为钻井船顺流航行,α较大时认为钻井船逆流航行。
|
| 图 2 海流载荷作用示意 Fig.2 Schematic diagram of the loading effect of ocean currents |

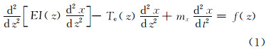
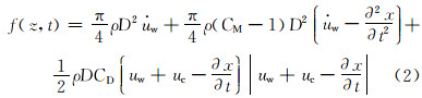
式中:z为隔水管轴向方向;x和y为水平面方向;EI为隔水管单元的抗弯刚度,Pa·m4;Te为隔水管的张力,N;mx为隔水管的线质量,kg/m;f为隔水管单元上波浪和海流的联合作用力,N,其计算考虑平台航速与海流速度的相对值。
波浪和海流的联合作用不能简单地分别计算波浪与海流的作用力,然后再线性叠加,而应利用修正的莫里森方程模拟隔水管受到的波流载荷[4, 5, 6, 7, 8]。修正的莫里森方程为:

式中:x为隔水管偏离井口垂直位置的位移,m;z为隔水管轴向方向;t为时间,s;ρ为海水密度,kg/m3;D为隔水管曳力直径,m;CM为圆柱体在振荡流中的惯性力系数;CD为曳力系数;uw为波浪水质点速度,m/s;u·w为波浪水质点加速度,m/s2;uc为稳态流速,m/s。
计算均采用FLEXCOM软件进行。FLEXCOM软件是MCS公司开发的一个时域有限元分析软件,可以用于大多数的海洋结构(包括柔性软管、隔水管、电缆、管道和空间框架结构)研究。采用综合考虑轴向载荷、弯矩和扭矩影响的复合3D梁单元,可同时考虑柔性和刚性结构,还可考虑大变形应变的影响。
2 钻井船悬挂隔水管撤离的安全性分析现场作业中,为了快速避开台风的运移路径,通常的做法是采取近似垂直于台风的运移路径(α=90°)来避台风。下面分析钻井船悬挂隔水管撤离过程中航向和航行速度对隔水管安全性的影响。
2.1 不同航向下的悬挂性能分析航向一方面会引起波流载荷角度的变化,影响钻井船运动,从而影响隔水管的受力变化;另一方面航向也会导致钻井船航行引起的隔水管曳力与海流曳力之间的夹角变化,使隔水管受到总曳力的大小和方向发生变化。通过计算钻井船航向为0°~180°时的隔水管顶部张力、隔水管上部转角、隔水管最大等效应力等参数,分析钻井船撤离过程中航向对悬挂隔水管安全性的影响。
2.1.1 硬悬挂撤离模式对于硬悬挂,假设现场浪高4.00 m,表面流速0.46 m/s,钻井船以2 kn航速悬挂全部隔水管实施撤离。计算钻井平台不同航向条件下,隔水管硬悬挂撤离时隔水管的主要性能参数,结果见表3。
| 钻井船航向/(°) | 卡盘/万向节处张力/106N | 隔水管上部转角/(°) | 隔水管最大等效应力/MPa |
| 注:钻井船航向0°表示顺流,180°表示逆流;隔水管上部允许转角5.4°,隔水管允许应力377 MPa,允许张力12.544×106 N。 | |||
| 180 | 5.811 4 | 6.348 | 487.6 |
| 135 | 5.629 5 | 6.244 | 475.2 |
| 90 | 5.631 0 | 5.045 | 403.4 |
| 45 | 5.289 4 | 4.133 | 340.3 |
| 0 | 5.346 4 | 4.173 | 342.7 |
由表3可知,钻井船的顺流撤离性能要优于逆流撤离,在2 kn航速下钻井船的安全撤离航向为0°~45°。
2.1.2 软悬挂撤离模式采用台风条件一年一遇情况进行分析,浪高6.90 m,表面流速0.82 m/s,钻井船以2 kn的航速悬挂全部隔水管实施撤离。计算钻井平台不同航向条件下,隔水管软悬挂撤离时的主要性能参数,结果见表4。
| 钻井船航向/(°) | 张力器张力/106N | 隔水管上部转角/(°) | 隔水管最大等效应力/MPa | 伸缩节行程/m |
| 180 | 5.500 6 | 6.883 | 270.1 | 7.38 |
| 135 | 5.489 2 | 6.282 | 261.9 | 7.30 |
| 90 | 5.469 5 | 4.076 | 239.1 | 7.13 |
| 45 | 5.503 3 | 3.897 | 211.6 | 7.30 |
| 0 | 5.528 2 | 3.658 | 194.3 | 7.40 |
由表4可知,钻井船的顺流撤离性能要优于逆流撤离,在2 kn航速下钻井船的安全撤离航向为0°~90°。
对比表3和表4可知,隔水管软悬挂能极大地减小隔水管系统的等效应力,隔水管软悬挂撤离的性能也优于硬悬挂。硬悬挂撤离模式下,隔水管等效应力是影响隔水管安全的主要因素。软悬挂撤离模式下,隔水管上部倾角是影响隔水管安全的主要因素。
2.2 不同航速下的悬挂性能分析通过计算钻井船不同航行速度下软悬挂和硬悬挂2种模式下的隔水管顶部张力、隔水管上部转角、隔水管最大等效应力等参数,分析钻井船航速对悬挂隔水管安全性的影响。
2.2.1 硬悬挂撤离模式假设浪高4.00 m,表面流速0.46 m/s,钻井船与海流成90°角撤离,计算隔水管硬悬挂撤离的最大许可撤离航速。隔水管硬悬挂撤离时,不同航速下隔水管的主要性能参数见表5。
| 撤离航速/kn | 卡盘/万向节处张力/106N | 隔水管上部转角/(°) | 隔水管最大等效应力/MPa |
| 0 | 4.884 4 | 1.747 | 216.2 |
| 0.5 | 4.941 6 | 2.003 | 228.1 |
| 1.0 | 5.107 2 | 2.745 | 266.0 |
| 1.5 | 5.356 3 | 3.807 | 329.2 |
| 2.0 | 5.631 0 | 5.045 | 403.4 |
由表5可知,随着撤离航速增大,卡盘处张力、隔水管上部转角和隔水管最大等效应力都逐渐增大,当钻井船的撤离航速达到2 kn时,隔水管的最大等效应力超过许可应力(333.0 MPa)。
2.2.2 软悬挂撤离模式采用台风条件一年一遇情况进行分析,浪高6.90 m,表面流速0.82 m/s,钻井船以90°航向软悬挂隔水管实施撤离,不同航速下隔水管的主要性能参数见表6。
| 撤离航速/kn | 张力器张力/106N | 隔水管上部转角/(°) | 隔水管最大等效应力/MPa | 伸缩节行程/m |
| 0 | 5.475 1 | 2.542 | 216.2 | 7.058 84 |
| 0.5 | 5.4745 | 2.651 | 217.3 | 7.063 77 |
| 1.0 | 5.473 9 | 2.933 | 221.0 | 7.077 21 |
| 1.5 | 5.472 0 | 3.402 | 228.8 | 7.103 00 |
| 2.0 | 5.469 5 | 4.076 | 239.1 | 7.126 31 |
| 2.5 | 5.466 2 | 4.913 | 245.5 | 7.120 01 |
| 3.0 | 5.462 8 | 5.897 | 257.2 | 7.087 09 |
| 3.5 | 5.457 7 | 7.00 | 268.3 | 7.035 79 |
由表6可知,软悬挂撤离的许可航速要明显高于硬悬挂,台风一年一遇情况下,90°航向撤离航速可以达到3.0 kn。
3 结论与建议1) 钻井船撤离航速和航向增大都会影响悬挂隔水管的安全性,因此为了保证足够的撤离时间,应根据天气预报对台风的预报,提前规划撤离方案并启动撤离计划。
2) 同样条件下,隔水管采用软悬挂模式,钻井平台悬挂隔水管撤离允许的航行速度和航向比硬悬挂模式要高、要宽。软悬挂撤离模式能够允许以相对较快的航速使钻井船驶离台风轨迹,因此在悬挂隔水管避台风撤离时,优先选用软悬挂模式。
3) 软悬挂撤离模式下影响钻井船航速的主要因素是隔水管倾角,撤离期间应该安排专人监视倾角的变化,并及时反馈给驾驶人员控制航速。
4) 硬悬挂撤离模式比软悬挂撤离模式对波流载荷的适应能力要弱,影响硬悬挂撤离模式下钻井船航速的主要因素是隔水管应力和隔水管倾角,目前无法对隔水管应力进行实时监测,因此硬悬挂撤离模式存在一定风险。
| [1] | Brekke,J N.Key Elements inultra-deep water drilling riser management[R].SPE/IADC 67812,2001. |
| [2] |
畅元江.深水钻井隔水管设计方法及其应用研究[D].东营:中国石油大学(华东)机电工程学院,2008. Chang Yuanjiang.Design approach and its application for deepwater drlling risers[D].Dongying:China University of Petroleum Engineering(Huadong),College of Mechanical and Electronic Engineering,2008. |
| [3] |
畅元江,陈国明,许亮斌,等.超深水钻井隔水管设计影响因素[J].石油勘探与开发,2009,36(4):523-528. Chang Yuanjiang,Chen Guoming,Xu Liangbin,et al.Influential factors for the design of ultra-deepwater drilling risers[J].Petroleum Exploration and Development,2009,36(4):523-528. |
| [4] |
孙友义,陈国明,畅元江.下放或回收作业状态下超深水钻井隔水管轴向动力分析[J].中国海上油气,2009,21(2):116-119. Sun Youyi,Chen Guoming,Chang Yuanjiang.Axial direction dynamic analysis on ultradeep-water drilling riser under setting down and recovery operations[J].China Offshore Oil and Gas,2009,21(2):116-119. |
| [5] |
鞠少栋,畅元江,陈国明,等.超深水钻井作业隔水管顶张力确定方法[J].海洋工程,2011,29(1):100-104. Ju Shaodong,Chang Yuanjiang,Chen Guoming,et al.Determination methods for the top tension of ultradeepwater drilling risers[J].The Ocean Engineering,2011,29(1):100-104. |
| [6] |
鞠少栋,畅元江,陈国明,等.深水钻井隔水管连接作业窗口分析[J].石油勘探与开发,2012,39(1):105-110. Ju Shaodong,Chang Yuanjiang,Chen Guoming,et al.Envelopes for connected operation of the deepwater drilling riser[J].Petroleum Exploration and Development,2012,39(1):105-110. |
| [7] |
鞠少栋,畅元江,陈国明,等.深水钻井隔水管悬挂窗口确定方法[J].石油学报,2012,33(1):133-136. Ju Shaodong,Chang Yuanjiang,Chen Guoming,et al.Determination of the hang-off window for deepwater drilling riser[J].Acta Petrolei Sinica,2012,33(1):133-136. |
| [8] |
张磊,畅元江,刘秀全,等.深水钻井隔水管与防喷器紧急脱离后的反冲响应分析[J].石油钻探技术,2013,41(3):25-30. Zhang Lei,Chang Yuanjiang,Liu Xiuquan,et al.Recoil analysis for deepwater drilling riser after emergency disconnection with blowout preventer[J].Petroleum Drilling Techniques,2013,41(3):25-30. |


