2. 中国石油西南油气田分公司川西北气矿, 四川成都 621700
2. Northwest Sichuan Division of PetroChina Southwest Oil & Gas Field Company, Chengdu, Sichuan, 621700, China
储层第二次压裂综合应用常规控制缝高的技术,用陶粒或石英砂代替粉砂作下沉剂,改变岩石的力学状态及压裂液的流动路径,以达到控制缝高、增加铺垫层数、扩展缝宽、提高裂缝导流能力的目的[1,2]。对于储层厚度较薄、缝高难以控制、储层下部存在水层的地层,第二次压裂可以起到良好的控制缝高和增加导流能力的作用[3]。然而,第一次和第二次压裂中间的停泵时间长期根据现场经验确定(一般不超过5 d[4])。对于不同类型的地层,停泵时间过长或过短,都会影响压裂后的产量。因此,找到一种能够准确计算第一二次压裂间停泵时间的方法,具有现实意义。
压力递减分析是评价水力压裂效果的一种重要方法。1979年,K.G.Nolte第一次提出了压力递减分析法[5],后来他将压力递减分析应用到3种裂缝模型中[6],随后M.Y.Soliman等人[7,8,9,10,11,12]不断改进和完善了拟三维压力递减分析方法,并研究了裂缝闭合后的流态。这些都已广泛应用于压裂施工效果评价和优化设计中,但上述研究都未考虑压裂液的续流效应和支撑剂体积对裂缝闭合的影响,而这2个因素对于第一二次压裂间停泵时间的确定非常重要。为此,笔者在相关理论研究的基础上,假设第二次压裂中压裂液具有较好的滤失性、地层相对稳定,推导出了续流时间和裂缝闭合时间以及裂缝闭合后地层压力趋于稳定时间的计算模型,最终通过分析压力递减曲线得到第一二次压裂间合理的停泵时间。
1 压裂施工各阶段的模型在前人研究成果的基础上,将压裂前后的整个过程分为注入阶段、续流阶段、裂缝闭合阶段和裂缝 闭合后等4个阶段。采用拟三维裂缝扩展模型分别研究注入阶段和续流阶段的裂缝扩展特征,并作如下假设:1)地层均质,上下隔层最小水平主应力相等,水力裂缝不穿层;2)裂缝在拟弹性地层延伸,层间无滑动;3)裂缝为垂直缝,缝高和缝宽均呈椭圆形分布;4)注入和闭合期间滤失系数相同;5)停泵初期裂缝仍有一定的延伸能力,且裂缝的延伸规律和注入期间相同;6)裂缝闭合期间,缝长和井底最大缝高不变,缝宽逐渐变窄,且考虑支撑剂体积对裂缝闭合的影响,缝内流体仅受滤失控制。
1.1 注入阶段I.D.Palmer等人[13]建立了拟三维裂缝扩展模型,如图 1所示。
|
| 图 1 I.D.Palmer拟三维裂缝扩展模型 Fig. 1 I.D.Palmer Pseudo-3D fracture propagation model |
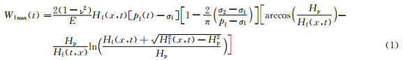
根据该拟三维裂缝扩展模型,在注入期间,井底的最大缝宽为:

根据式(1)可以得出注入期间裂缝的动态体积(后续计算均考虑单翼缝长)为:

M的表达式为:


如滤失系数不随时间、压差及地点变化,根据Carter滤失方程[6]可得注入期间的滤失量为:

φ(m)的表达式为:

注入期间压裂缝内有如下体积平衡关系:


由式(1)—(8)可以得到注入阶段动态缝长的表达式:

将t=tp代入式(1)—(9),可以分别得到停泵时刻的井底最大缝宽、缝长、缝高和裂缝体积。
1.2 续流阶段关井初期,由于缝内压力较高,裂缝在高度和长度方向上还要延伸一段距离,该距离除与施工压力有关外,还与地层性质有关。由于延伸时间一般较短,可以假定在此期间井底最大缝高Hf max(tp)不变,高度分布仍为椭圆形,且以椭圆形向前延伸。
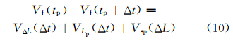
设停泵后延伸时间为Δt,单翼裂缝延伸的长度为ΔL,停泵时缝长为Lp,根据缝内体积平衡理论,在续流过程中,一部分压裂液在Lp段继续向地层滤失,另一部分压裂液由于裂缝继续延伸而造成裂缝体积增大,同时延伸段ΔL还存在压裂液的初滤失和滤失。裂缝内有如下体积平衡关系:

在Δt时间内,停泵初期的裂缝扩展和注入期间一致,即假设总注入量稳定增加,由式(9)可得ΔL:


延伸停止时的裂缝体积:

Lp段的总滤失量:


ΔL段的滤失量:

ΔL段的初始滤失量:

将式(13)—(18)代入式(10)中,并结合式(2)可以得到关于续流时间Δt的表达式:

续流结束后,裂缝的闭合受滤失控制,考虑支撑剂的体积,此时缝内流体的体积平衡式为:

设裂缝闭合时间(自注入开始时刻起)为t2,t1=tp+Δt,则:

支撑剂的体积为:

将式(21)、(22)代入式(20)中,可以得到关于裂缝闭合时间t2的表达式:

根据压力差的关系可以获取拟合压力,进而求取压裂液的滤失系数[16]。式(19)、式(23)均可采用牛顿迭代法进行计算,最终得到裂缝的续流时间和闭合时间。
1.4 裂缝闭合后K.G.Nolte,G.R.Talley和M.Y.Soliman等人[17,18,19,20]研究表明,裂缝闭合后的流态可能是拟线性流、拟径向流或者双线性流。
对于拟线性流,压差可表示为:

对于拟径向流,压差可表示为:

R.D.Barree等人[21,22,23]研究表明,使用各种曲线的综合方法(包括组合压力与t曲线等),可以保证对压力降落的连续性解释。通过分析裂缝闭合后压降曲线,可以得到地层压力趋于稳定的时间。
由1.1—1.4的分析可知,合理的中途停泵时间计算流程为:1)根据式(19)计算出压裂液的续流时间Δt;2)根据式(23)计算出裂缝的净闭合时间tc;3)根据式(24)或式(25)计算出裂缝闭合后压力趋于稳定的时间tsta;4)计算中途停泵时间tt=Δt+tc+tsta。
2 实例计算分析X区块地层为低孔隙低渗透的砂泥岩交互储层,储层为薄互层,采用二次压裂技术可以增大缝长及缝宽,提高裂缝导流能力。在前期多口井的施工中采用了类似的工艺技术参数进行多次压裂,显著提高了压裂效果,但对于不同停泵时间压裂后的产量不同。该区块M井进行了第二次压裂,其中第一次压裂的施工参数见表 1。
| 物理量 | 量值 | 物理量 | 量值 | |
| 泵注时间/min | 244.6 | 停泵时井底最大缝高/m | 96 | |
| 井底瞬时停泵压力/MPa | 87.71 | 最小水平主应力/MPa | 77.37 | |
| 施工排量/(m3·min-1) | 10 | 最大水平主应力/MPa | 121.70 | |
| 总注入量/m3 | 2 338.3 | 地层压力/MPa | 56.66 | |
| 井底闭合应力/MPa | 77.37 | 支撑剂密度/(kg·m-3) | 1.8×103 | |
| 地层弹性模量/MPa | 39 000 | 初滤失系数/m | 0.000 5 | |
| 泊松比 | 0.22 |
根据笔者建立的模型编程计算,得续流时间Δt=7.93 min,裂缝闭合时间(自注入开始时刻起)t2 =290.40 min,裂缝的净闭合时间tc=t2-tp-Δt=37.87 min。
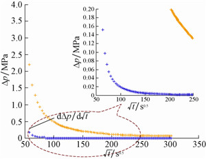
对裂缝闭合后的情况进行分析,考虑裂缝闭合后储层中的液体流动为拟径向流。分别绘制了压力递减的
和
曲线(见图 2),用此预测地层压力趋于稳定的时间。
|
| 图 2 裂缝闭合后的压力递减曲线 Fig. 2 Curve of predicted pressure decline after fracture closure |
根据压力递减曲线分析,当dΔp/dt趋于0,即压力递减率接近于0时,认为地层压力已经趋于稳定,根据计算结果取t=155 s0.5,得裂缝内压力达到稳定的时间为400.42 min。由此可得,自停泵结束时地层压力恢复稳定的时间(即合理的停泵时间)为446.22 min。
M井第一二次压裂间停泵时间模拟结果见表 2。
| 停泵时间/min | 缝长/m | 缝高/m | 导流能力/(mD·m) |
| 0 | 418.1 | 91.1 | 0.98 |
| 60 | 456.5 | 85.7 | 1.01 |
| 180 | 467.2 | 74.5 | 1.15 |
| 300 | 490.3 | 68.3 | 1.85 |
| 420 | 505.1 | 67.2 | 2.63 |
| 500 | 502.4 | 68.9 | 2.51 |
| 600 | 506.8 | 67.5 | 2.12 |
由表 2可知,随着停泵时间的增长,缝高逐渐变矮,导流能力逐渐增强,至停泵时间为420 min时导流能力最强,而420 min以后呈降低趋势。模拟结果表明,停泵时间存在一个最佳时间, 此时导流能力最佳。
表 3为X区块某4口井(编号分别为1~4)因停泵时间不同而导致第二次压裂后产量不同的情况。
| 压裂井 | 停泵时间/d | 压裂后日产量/(104m3) |
| 1 | 15.0 | 0.820 0 |
| 2 | 1.0 | 0.990 0 |
| 3 | 0.3 | 3.448 7 |
| 4 | 0.1 | 2.300 0 |
表 3表明:1井的停泵时间最长,压裂后的日产量最低;4井的停泵时间最短,但日产量非最高;3井的压裂效果最好,其停泵时间相比其他井为最佳时间;2井压裂后的日产量与1井相当,说明停泵时间达到1.0 d已经远远超过了最佳时间,说明过长的停泵时间不但无益而且可能会降低压裂后产能。表 3的分析结果与表 2的模拟结果以及模型的计算结果相吻合。
从实际情况来看,第一次压裂施工结束后,裂缝内压力稳定的时间决定了支撑剂在裂缝中沉降和滤饼稳定形成的时间,而支撑剂的铺置情况和滤饼情况将最终影响第二次加砂形成裂缝的形态、压裂液滤失及裂缝导流能力,不稳定的支撑剂铺置和滤饼可能导致缝高向下扩展,进而使缝宽变窄、导流能力降低。而压力稳定以后,停泵时间过长又会增加压裂液对储层的伤害。因此,最佳停泵时间应选择在地层压力稳定的时间点,这样既能使支撑剂有充足的时间在裂缝中沉降,使滤饼保持稳定,也可避免压裂液进一步伤害储层。
3 结 论1) 利用压力递减分析法,将压裂整个过程分为注入阶段、续流阶段、裂缝闭合阶段和裂缝闭合后4个阶段。分别考虑续流效应和支撑剂的影响,推导出了停泵后的续流时间和裂缝闭合时间的计算模型,并结合闭合后压降曲线分析得出了合理的第一二次压裂间停泵时间。
2) 实例分析表明:随停泵时间增长,导流能力先升高后降低,压裂后的日产量先增大后减小;地层压力稳定的时间点为最佳的停泵时间点,在该点可以获得最佳的压裂效果。
3) 模拟结果和压裂后日产量对应的最佳停泵时间与模型计算结果相吻合,表明利用笔者建立的模型可以较为准确地预测最佳停泵时间,可用于指导现场施工。
| [1] |
卢修峰,王杏尊,吉鸿波,等.二次加砂压裂工艺研究与应用[J].石油钻采工艺,2004,26(4):57-60,84. Lu Xiufeng,Wang Xingzun,Ji Hongbo,et al.Research and application on second sand filling fracturing[J].Oil Drilling & Production Technology,2004,26(4):57-60,84. |
| [2] |
王宇宾,刘建伟.二次加砂压裂技术研究与实践[J].石油钻采工艺,2005,27(5):81-84. Wang Yubin,Liu Jianwei.Research and practice of secondary sandfrac fracturing technique[J].Oil Drilling & Production Technology,2005,27(5):81-84. |
| [3] |
刘力铭,郭建春.二次加砂压裂技术在樊131 区块樊134-1 井的应用[J].油气地质与采收率,2014,21(1):107-110. Liu Liming,Guo Jianchun.Application for secondary sand fracturing technology in Well Fan134-1,Fan131 Block[J].Petroleum Geology and Recovery Efficiency,2014,21(1):107-110. |
| [4] |
倪小明,林然,张崇崇.晋城矿区煤层气井连续多次压裂裂缝展布特征[J].中国矿业大学学报,2013,42(5):747-754. Ni Xiaoming,Lin Ran,Zhang Chongchong.Characteristics of fracture distribution after continuous and repetitive hydraulic fracturing of CBM wells in Jincheng Mining Area[J].Journal of China University of Mining & Technology,2013,42(5):747-754. |
| [5] | Nolte K G.Determination of fracture parameters from fracturing pressure decline[R].SPE 8341,1979. |
| [6] | Nolte K G.A general analysis of fracturing pressure decline with application to three models[R].SPE 12941,1986. |
| [7] | Soliman M Y.Technique for considering fluid compressibility and temperature change in mini-frac analysis[R].SPE 15370,1986. |
| [8] | Soliman M Y.After closure analysis for unconventional reservoirs and completion[R].SPE 124135,2009. |
| [9] | Ibrahim Mohamed Mohamed,Ramez Masoud Azmy,Mohammed Ali Ibrahim Sayed,et al.Evaluation of after-closure analysis techniques for tight and shale gas formations[R].SPE 140136,2011. |
| [10] | Soliman M Y,Miranda C,Wang H M.Application of after-closure analysis to a dual-porosity formation,to CBM,and to a fractured horizontal well[R].SPE 124135,2010. |
| [11] | Gilles Leblanc,ErKan Gunasan,Jean-Luc Boutaud de Combe,et al.Reservoir characterization using injection test after-closure analysis:field case history in a depleted oil reservoir[R].SPE 128052,2010. |
| [12] | Soliman M Y,Shahri M,Lamer H.Revisiting the before closure analysis formulations in diagnostic fracturing injection test[R].SPE 163869,2013. |
| [13] | Palmer I D,Carroll H B,Jr.Three-dimensional hydraulic fracture propagation in the presence of stress variations[R].SPE 10849,1983. |
| [14] |
郭建春,赵金洲,敖西川.压裂压力递减分析三维模型与应用[J].天然气工业,2003,23(2):72-74. Guo Jianchun,Zhao Jinzhou,Ao Xichuan. 3-D model of analyzing frac pressure decline and its application[J].Natural Gas Industry,2003,23(2):72-74. |
| [15] |
张亚丽,赵金洲,李文兴,等.三维压裂压力递减分析方法[J].西南石油学院学报,2004,26(3):28-32. Zhang Yali,Zhao Jinzhou,Li Wenxing,et al.Analyzing method of 3D fracturing pressure decline curve[J].Journal of Southwest Petroleum Institute,2004,26(3):28-32. |
| [16] |
王鸿勋,张士诚.水力压裂设计数值计算方法[M].北京:石油工业出版社,1998:247-250. Wang Hongxun,Zhang Shicheng.Numerical calculation method of hydraulic fracturing design[M].Beijing:Petroleum Industry Press,1998:247-250. |
| [17] | Nolte K G,Maniere J L,Owens K A.After-closure analysis of fracture calibration tests[R].SPE 38676,1997. |
| [18] | Talley G R,Swindell T M,Waters G A,et al.Field application of after-closure analysis of fracture calibration tests[R].SPE 52220,1999. |
| [19] | Soliman M Y.New method for determination of formation permeability,reservoir pressure,and fracture properties from a minifrac text[R].ARMA-05-658,2005. |
| [20] | Soliman M Y,Thornton K V,Miranda C G,et al.Investigation of effect of fracturing fliud on after-closure analysis in gas reservoirs[R].SPE 128016,2010 |
| [21] | Economides M J,Martin T.Modern fracturing:enhancing natural gas production[M].Houston:Energy Tribune Publishing Inc,2007:106-113. |
| [22] | Craig D P.New type curve analysis removes limitations of conventional after-closure analysis of DFIT data[R].SPE 168988,2014. |
| [23] | Barree R D,Barree V L,Craig D.Holistic fracture diagnostics[R].SPE 107877,2007. |


