盐岩蠕变对水泥环气密封完整性影响规律研究

Study on the Influence of Salt Rock Creep on the Integrity of Cement Sheath Gas Seals

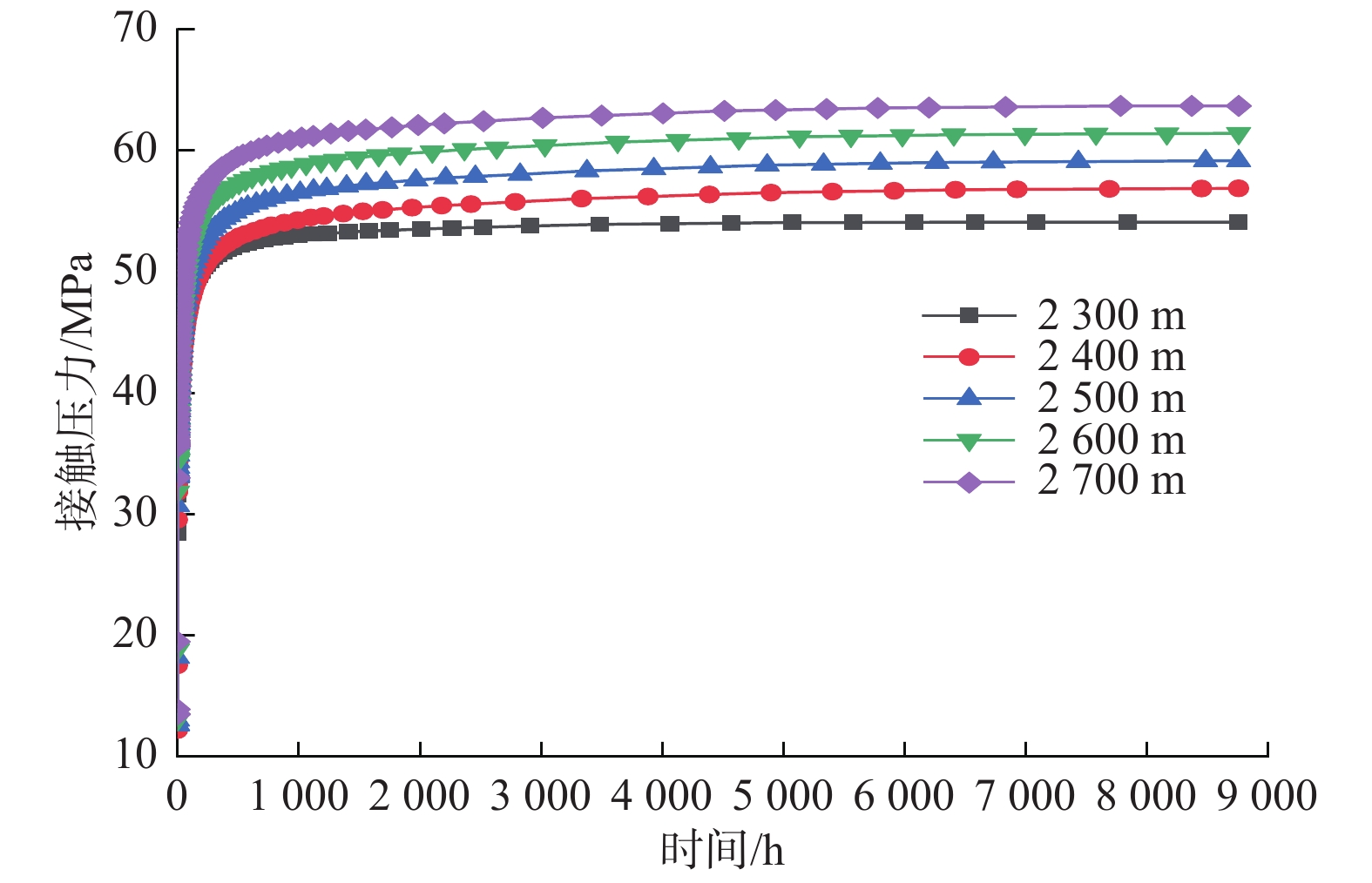
  • 摘要: 盐岩具有可溶性和可塑性,钻井及固井过程中易发生塑性变形或蠕动流动,导致井眼呈不规则形状,使套管发生变形或被挤毁,影响盐岩层段井筒气密性,从而影响油(气)井的正常生产及安全。为了给盐岩层段的井筒气密性评价提供理论依据,基于岩石物理试验及三维有限元法,分析了盐岩地层对固井一界面、二界面气密性的影响。分析得知:固井一界面对气体的密封能力强于水泥石本身的气密性,盐岩蠕变可增强固井二界面的气密封能力;盐岩层气体密封能力主要取决于固井二界面的密封能力和水泥石自身密封能力;盐岩层气体密封能力与界面接触压力呈复杂正相关性。基于分析结果,建立了固井二界面气体密封压力定量评价模型。固井二界面气体密封压力定量评价模型可评价目标区盐岩地层气密性,对其他地区类似地层固井施工也有借鉴作用。

     

    Abstract: Salt rocks are prone to plastic deformation or creeping flow during drilling and cementing due to their solubility and plasticity. This may result in irregular wellbores and deformed or even collapsed casings, which influences air tightness of wellbore in salt rock interval and thereby threatening the normal production and safety of oil (gas) wells. This study aimed to provide a theoretical basis for air tightness evaluations of wellbores in salt rock intervals. For this purpose, the influences of salt rock intervals on the air tightness of the first and the second interfaces in cementing were analyzed by means of petrophysical experiments and three dimensional (3D) finite element simulations. The following results are obtained: The first interface is superior to the cement stone itself in gas sealing ability, and the ability of the second interface can be enhanced from salt rock creep. The gas sealing ability of salt rock intervals is mainly depends on the sealing ability of the second interface and cement stone itself. The gas sealing ability of salt rock intervals has a complex positive correlation with interface contact pressure. A model for quantitative evaluation of gas seal pressure at the second interface in cementing was built based on the analysis results. With this model, the air tightness of salt rock intervals in target areas can be evaluated, and it can provide reference for the cementing in similar intervals in other areas.

     

/

返回文章
返回